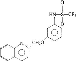
利托司特
C17H13F3N2O3S=382.36 CAS-111974-60-8 1,1,1-三氟-N-[3-(2-喹啉基甲氧)苯基]甲烷磺酰胺。 1,1,1-Trifluoro-N-[3-(2-quinolinylmethoxy)phenyl]methanesulfonamide. 1,1,1-三氟-α-2-喹啉甲烷磺酰-间-茴香酰胺。 1,1,1-Trifluoro-α-2-quinolylmethanesulfon-m-anisidide. 平喘药。 Ritolukast,WY-48252. INN,USAN.  |