网站首页  词典首页


请输入您要查询的字词:

 

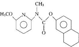
字词 利拉萘酯
类别 中英文字词句释义及详细解析
释义 利拉萘酯

C18H20N2O2=328.43

CAS-88678-31-3

O-(5,6,7,8-四氢-2-萘基)6-甲氧基-N-甲硫基-2-吡啶氨基甲酸酯。

O-(5,6,7,8-Tetrahydro-2-naphthyl)6-methoxy-Nmethylthio-2-pyridinecarbamate.

抗真菌药。

Liranaftate.

INN,USAN.

随便看

 

离鸟网收录3541549条中英文词条,其功能与新华字典、现代汉语词典、牛津高阶英汉词典等各类中英文词典类似,基本涵盖了全部常用中英文字词句的读音、释义及用法,是语言学习和写作的有利工具。

 

Copyright © 2004-2024 vtrois.com All Rights Reserved
更新时间:2026/5/26 18:57:04