网站首页  词典首页


请输入您要查询的字词:

 

字词 利率和汇率引致的预算差额变化
类别 中英文字词句释义及详细解析
释义 利率和汇率引致的预算差额变化

【内容介绍】:

要想准确测度财政政策的影响,正确判断财政政策是紧缩性的还是扩张性的,首先要对预算差额进行科学界定。

也就是说,要剔除造成预算差额虚假现象的各种因素,其中通货膨胀就是一个重要因素。这里,我们根据购买力责权发生制核算方法,从理论上阐示预算差额如何对利率和汇率变化进行调整(Heller,Haas,and Mansur,1986,p.40)。

利率引致变化的调整首先要考虑到未偿债务的“名义”价值和“市场”价值间的差异。

在国债的大多数研究中,一般使用“名义”价值,它是指在普通有价证券偿还时,政府将偿付给证券持有者的货币数量;而任何股票的“市场”价值,即当期可以购买到的价格,或高于名义价值,或低于名义价值,取决于利率的变化。

倘若政府发行一定数量的长期公债D,其名义息票利率为i0,现行市场利率是i,公债的实际市场价值可能是(Di0)/(Pi)。公债的实际市场价值的变化是△VP,i

△Vp,i=-π(Di0)/(Pi)

-(△i/i)(Di0)/(Pi) (1)

式中,P代表价格指数,π代表通货膨胀率,π=△P/P。如果按实际价值来核算,并把利率引致变化与通货膨胀引致变化考虑在内,那么,就应当减掉通货膨胀率与实际长期未偿债务的乘积以及未偿债务实际价值因变化的市场利率所引起的变化。

以名义价值表示的调整等于:

-[(△i/i)(Di0)/(i)] (2)

把未偿公债的名义价值转换成市场价值的一个简单方法是考察私人持有公债和官方持有公债的名义价值与市场价值之间的差额,这很容易从证券交易统计量中得知。

上述讨论假定所有政府债务都是以本国货币表示的,没有考虑到外币表示的债务的含义。这对于封闭型经济的国家来说无关紧要,但对于开放型经济的国家来说,外债在整个未偿公债中可能占有很高的比例,汇率的引致变化就不能不考虑了。

以外币表示的资产的实际价值与本币表示的资产的实际价值一样,也会随著通货膨胀率和利率的变化而改变。但不同的是,以外币表示的未偿公债,随著汇率的贬值(升值),其价值(以本币来衡量)可能会提高(降低)。

令BH和BF分别代表以本币表示的公债和以外币表示的公债,并假定这两类公债的持有者既有本国居民也有外国人。通货膨胀和汇率同时引致的未偿实际公共部门债务的变化可以用下式表述:

△Vp,e=-π(BH/P)-[(π-△e/e)

(eBF/P)] (3)

式中,e代表汇率。

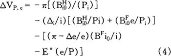
当同时考虑到通货膨胀、利率和汇率变化对本币和外币表示的未偿债务价值的引致效应(△VP.i.e)时,预算赤字调整的表达式比较复杂一些:

式中,E*代表政府的外汇储备净额。。

【参考文献】:

财政政策影响的测度(Measuring the Influence of Fiscal Policy)

预算差额的通货膨胀调整方法(Approaches to Inflation-Adjustment in the Budget Balance)

财政调整(Fiscal Adjustments)

Heller, P.S., R.D.Haas, and A.S. Mansur, 1986, A Review of the Fiscal Impulse Measure, Staff Papers, May, IMF.

随便看

 

离鸟网收录3541549条中英文词条,其功能与新华字典、现代汉语词典、牛津高阶英汉词典等各类中英文词典类似,基本涵盖了全部常用中英文字词句的读音、释义及用法,是语言学习和写作的有利工具。

 

Copyright © 2004-2024 vtrois.com All Rights Reserved
更新时间:2026/5/25 19:52:34