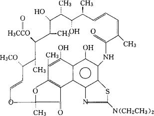
利福克昔
C42H55N3O11S=809.97 CAS-113102-19-5 2′-(二乙氨基)-利福霉素P。 2′-(Diethylamino)-rifamycin P. (9S,12E,14S,15S,16S,17R,18R,19R,20S,21S,22E,24Z)-2-(二乙氨基)-5,6,16,18,20-五羟-14-甲氧-7,9,15,17,19,21,25-七甲基-9,4-(环氧十五碳[1,11,13]三烯亚氨基)糠基[2′,3′∶7,8]萘并[1,2-d]噻唑-10,26(9H)-二酮,16-醋酸盐。 (9S,12E,14S,15S,16S,17R,18R,19R,20S,21S,22E,24Z)-2-(Diethylamino)-5,6,16,18,20-pentahydroxy-14-methoxy-7,9,15,17,19,21,25-heptamethyl-9,4-(epoxypentadeca[1,11,13]trienimino)furo-[2′,3′∶7,8]naphtho[1,2-d]thiazole-10,26(9H)-dione,16-acetate. 抗生素类药。 Rifamexil,MDL 62,769. USAN. 
|