网站首页  词典首页


请输入您要查询的字词:

 

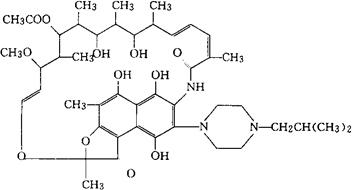
字词 利福定[中]
类别 中英文字词句释义及详细解析
释义 利福定[中]

C45H63N3O12=838.00

3-(4-异丁基-1-哌嗪基)利福霉素。

3-(4-Isobutyl-1-piperazinyl)rifamycin.

抗生素类药。用于结核杆菌、麻风杆菌、金黄色葡萄球菌的感染。

异丁哌力复霉素,异丁基哌嗪力复霉素。

Isobutyl Piperazine Rifamycin.

利福定片(异丁基哌嗪力复霉素片),利福定胶囊(异丁基哌嗪力复霉素胶囊)。

随便看

 

离鸟网收录3541549条中英文词条,其功能与新华字典、现代汉语词典、牛津高阶英汉词典等各类中英文词典类似,基本涵盖了全部常用中英文字词句的读音、释义及用法,是语言学习和写作的有利工具。

 

Copyright © 2004-2024 vtrois.com All Rights Reserved
更新时间:2026/5/26 8:09:55