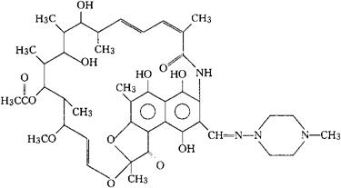
利福平[典]
C43H58N4O12=822.94 CAS-13292-46-1 3-[[(4-甲基-1-哌嗪基)亚氨基]甲基]利福霉素。 3-[[(4-Methyl-1-piperazinyl)imino]methyl]rifamycin. 抗生素类药。用于结核杆菌、麻风杆菌、金黄色葡萄球菌的感染,也可用于厌氧菌感染。 甲哌利福霉素,力复平,甲哌力复霉素。 Rifampin,Rifampicina,Rifadin. 利福平片(甲哌利福霉素片),利福平胶囊(甲哌利福霉素胶囊),利福平眼药水。 INN,BAN,BP,DCF,DCIT,EP,JAN,NFN,USAN,USP,MI. 
|