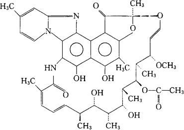
利福昔明
C43H51N3O11-785.89 CAS-80621-81-4 (2S,16Z,18E,20S,21S,22R,23R,24R,25S,26S,27S,28E)-5,6,21,23,25-五羟-27-甲氧-2,4,11,16,20,22,24,26-八甲基-2,7-(环氧十五碳[1,11,13]三烯亚氨基)苯并糠基并[4,5-e]吡啶并[1,2-a]苯并咪唑-1,15(2H)-二酮,25-醋酸盐。 (2S,16Z,18E,20S,21S,22R,23R,24R,25S,26S,27S,28E)-5,6,21,23,25-Pentahydroxy-27-methoxy-2,4,11,16,20,22,24,26-octamethyl-2,7-(epoxypentadeca[1,11,13]trienimino)benzofuro[4,5-e]pyrido[1,2-a]benzimidazole-1,15(2H)-dione,25-acetate. 25-(乙酰氧)-5,6,21,23-四羟-27-甲氧-2,4,11,16,20,22,24,26-八甲基-2,7-(环氧十五碳[1,11,13]三烯亚氨基)苯并糠基[4,5-e]吡啶并[1,2-a]苯并咪唑-1,15(2H)-二酮。 25-(Acetyloxy)-5,6,21,23-tetrahydroxy-27-methoxy-2,4,11,16,20,22,24,26-octamethyl-2,7-(epoxypentadeca[1,11,13]trienimino)benzofuro[4,5-e]pyrido[1,2-a]benzimidazole-1,15(2H)-dione. 抗菌药。 Rifaximin,Normix,Rifaxidin,α-0817185,L 105. INN,USAN.  |