网站首页  词典首页


请输入您要查询的字词:

 

字词 利福米特
类别 中英文字词句释义及详细解析
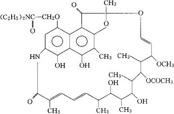
释义 利福米特

C43H38N2O13=810.94

CAS-2750-76-7

利福霉素B N,N-二乙胺。

Rifamycin B N,N-diethylamide.

抗生素类药。

利福米胺。

Rifamide.

INN,BAN,DCIT,NFN,USAN.

随便看

 

离鸟网收录3541549条中英文词条,其功能与新华字典、现代汉语词典、牛津高阶英汉词典等各类中英文词典类似,基本涵盖了全部常用中英文字词句的读音、释义及用法,是语言学习和写作的有利工具。

 

Copyright © 2004-2024 vtrois.com All Rights Reserved
更新时间:2026/5/25 23:55:16