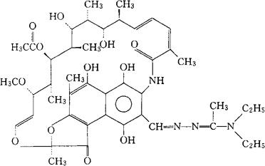
利福美坦
C44H60N4O12=836.98 CAS-94168-98-6 3-[[[1-(二乙氨基)亚乙基]亚肼基]甲基]利福霉素。 3-[[[1-(Diethylamino)ethylidene]hydrazono]methyl]rifamycin. (2S,12Z,14E,16S,17S,18R,19R,20R,21S,22S,23S,24E)-1,2-二氢-5,6,9,17,19,21-六羟-23-甲氧-2,4,12,16,18,20,22-七甲基-1,11-二氧代,7-(环氧十五碳[1,11,13]三烯亚氨基)-萘并[2,1-b]呋喃-8-羧基乙醛,8-吖嗪与N,N-二乙基乙酰胺,21-醋酸盐。 (2S,12Z,14E,16S,17S,18R,19R,20R,21S,22S,23S,24E)-1,2-Dihydro-5,6,9,17,19,21-hexahydroxy-23-methoxy-2,4,12,16,18,20,22-heptamethyl-1,11-dioxo-2,7-(epoxypentadeca[1,11,13]-trienimino)naphtho[2,1-b]furan-8-carboxyaldehyde,8-azine with N,N-diethylacetamide,21-acetate. 抗生素类药。 Rifametane,SPA-S-565. INN,USAN. 
|