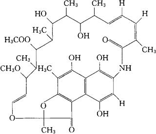
利福霉素
C37H47NO12=697.78 CAS-6998-60-3 为多组分混合物。 5,6,9,17,19,21-六羟-23-甲氧-2,4,12,16,18,20,22-七甲基-2,7-(环氧十五碳[1,11,13]-三烯亚胺基)萘并-[2,1-b]-呋喃-1,11[2H]-二酮-21-醋酸酯。 5,6,9,17,19,21-Hexahydroxy-23-methoxy-2,4,12,16,18,20,22-heptamethyl-2,7-(epoxypentadeca[1,11,13]trienimino)naphtho[2,1-b]furan-1,11[2H]-dione-21-acetate. 抗生素类药。用于革兰氏阳性球菌的感染、耐药金黄色葡萄球菌的感染、胆道感染等。 力复霉素,利福霉素SV。 Rifamycin,Rifamycin SV,Rifomycin SV,Rifamicin SV. 利福霉素注射液。 INN,BAN,BP,DCF,EP,FP,NFN,USAN,MI.  |