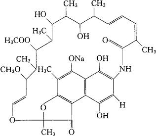
利福霉素钠
C37H46NNaO12=719.76 CAS-14897-39-3 [12Z,14E,24E]-[2S,16S,17S,18R,19R,20R,21S,22R,23S]-21-乙酰氧6,9,17,19-四羟-23-甲氧-2,4,12,16,18,20,22-七甲基-1,11-二氧代-2,7-(十五碳环氧-[1,11,13]三烯亚胺基)萘并[2.1-6]呋喃-5-酚酸的钠盐。 [12Z,14E,24E]-[2S,16S,17S,18R,19R,20R,21S,22R,23S]-21-Acetoxy-6,9,17,19-tetrahydroxy-23-methoxy-2,4,12,16,18,20,22-heptamethyl-1,11-dioxo-2,7-(epoxypentadeca-[1,11,13]trienimino)naphtho[2,1-6]furan-5-olate sodium salt. 抗生素类药。用于固紫染色阳性球菌的感染、耐药的金黄色葡萄球菌感染、胆道感染等。 力复霉素,力复霉素SV钠。 Rifamycin SV Sodium,Rifamycin Sodium,Rifocin,Chibro-Rifamycin. 力复霉素钠注射液。 BP,MI.  |