利血平[典]
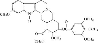
C33H40N2O9=608.69 CAS-50-55-5 18β-羟-11,17α-二甲氧-3β,20α-育亨烷-16β-羧酸甲酯3,4,5-三甲氧苯甲酸酯。 Methyl 18β-hydroxy-11,17α-dimethoxy-3β,20α-yohimban-16β-carboxylate 3,4,5-trimethoxybenzoate(ester). 抗高血压药。有温和徐缓的比较稳定持久的降压作用。用于高血压症。 寿比安,血安平,尼寿品,蛇根碱,蛇根硷(台)。 Reserpine,Rau-Sed,Reserpoid,Sandril,Serpasil,Serpiloid,Reserpex,Rivasin,Roxinoid,Sedaraupin,Serfin,Serpen. 利血平片,蛇根硷锭,利血平注射液,蛇根硷注射液。 INN,BAN,BP,DCF,DCIT,EP,FP,GDP,JP,NFN,USAN,USP,USSRP,MI.  |