网站首页  词典首页


请输入您要查询的字词:

 

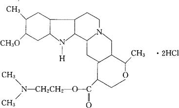
字词 利血比林
类别 中英文字词句释义及详细解析
释义 利血比林

C26H35N3O5·2HCl=542.5

CAS-5585-67-1

(3β,19α,20α)-16,17-二去氢-10,11-二甲氧-19-甲基氧杂育享烷-16-羧酸2-二甲氨基乙酯。

2-Dimethylaminoethyl(3β,19α,20α)-16,17-didehydro-10,11-dimethoxy-19-methyloxayohimban-16- carboxylate.

降压药。用于原发性和肾性高血压。

Paratensiol,Andanol,Belnalin,Dimeserpin Hypertenin.

随便看

 

离鸟网收录3541549条中英文词条,其功能与新华字典、现代汉语词典、牛津高阶英汉词典等各类中英文词典类似,基本涵盖了全部常用中英文字词句的读音、释义及用法,是语言学习和写作的有利工具。

 

Copyright © 2004-2024 vtrois.com All Rights Reserved
更新时间:2026/5/25 10:21:32