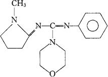
利诺格列
C16H22N4O=286.38 CAS-75358-37-1 N-(1-甲基-2-吡咯烷亚基)-N′-苯基-4-吗啉甲酰亚胺基胺。 N-(1-Methyl-2-pyrrolidinylidene)-N′-phenyl-4-morpholinecarboximidamide. N-(1-甲基-2-吡咯烷基亚基)-N′-苯基-4-吗啉甲脒。 N-(1-Methyl-2-pyrrolidinylidene)-N′-phenyl-4-morpholinecarboxamidine. 降血糖药。 Linogliride,McN 3935. INN,USAN.  |