利贝特[中]
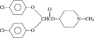
C20H21Cl2NO4=410.30 CAS-22204-91-7 双(4-氯苯氧)-,1-甲基-4-哌啶基,醋酸酯。 Acetic acid,bis(4-chlorophenoxy)-,1-methyl-4-piperidinyl ester. 1-甲基-4-哌啶基乙醛酸2-[双(对-氯苯基)乙缩醛]。 1-Methyl-4-piperidyglyoxylate2-[bis(p-chlorophenyl)acetal]. 降血压药。 Lifibrate,MPCA,SaH 42-348. INN,USAN.  |