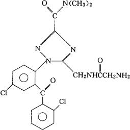
利马扎封
C21H20Cl2N6O3=475.33 CAS-99593-25-6 5-[(2-氨基乙酰胺基)甲基]-1-[对-氯-2-(邻-氯苯甲酰)苯基]-N,N-二甲基-1H-1,2,4-三唑-3-甲酰胺。 5-[(2-Aminoacetamido)methyl]-1-[4-chloro-2-(ochlorobenzoyl)phenyl]-N,N-dimethyl-1H-1,2,4-triazole-3-carboxamide. 催眠药。 Rilmazafone,Trimazsfone,450191 S. INN,USAN.  |