网站首页  词典首页


请输入您要查询的字词:

 

字词 制浆总收获率的计算
类别 中英文字词句释义及详细解析
释义 制浆总收获率的计算

[说明]指经过制浆全过程所生产的纸浆量占使用原料量的百分比。反映制浆生产过程技术经济总成果的指标。

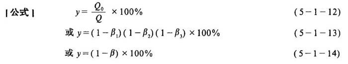
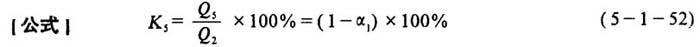
式中 K——制浆总收获率(%)

Q1——抄浆后纸浆的产量(kg)

Q——本期使用原料量(备料)(kg)

K0——备料总收获率(%),见式5-1-12和式5-1-19

K1——蒸煮或磨浆粗浆得率(%),见式5-1-22和式5-1-26

K3——蒸煮细浆得率(%),见式5-1-40

K4——漂白纸浆得率(%),见式5-1-48

K5——抄浆得率(%),见式5-1-52

随便看

 

离鸟网收录3541549条中英文词条,其功能与新华字典、现代汉语词典、牛津高阶英汉词典等各类中英文词典类似,基本涵盖了全部常用中英文字词句的读音、释义及用法,是语言学习和写作的有利工具。

 

Copyright © 2004-2024 vtrois.com All Rights Reserved
更新时间:2026/4/6 17:09:51