网站首页  词典首页


请输入您要查询的字词:

 

字词 刺五加
类别 中英文字词句释义及详细解析
释义 刺五加

【概况】:

异名 坎拐棒子(吉林),刺木棒(辽宁),一百针、老虎潦子(河北)。

基源 为五加科五加属植物刺五加的根皮。

原植物 刺五加Acanthopanax senticosus(Rupr.et Maxim.)Harms[Eleutherococcus senticosus(Rupr.et Maxim.)Maxim.]

历史 五加皮见于《本经》,列为上品。《别录》载:“五加皮,五叶者良,生汉中及冤句,五月、七月采茎,十月采根”。现今五加皮主为五加的根皮,在东北及河北亦有用刺五加的根皮。

这些年来,国内外对刺五加根颇多研究,认为属于适应原性药物,与人参作用相似。有“刺五加片”和与五味子合用制成“刺五加胶丸”等制剂。

形态 灌木,高1~6m。多分枝,一二年生枝条密生皮刺,刺直而细长,向下,基部不膨大,刺痕圆形。

掌状复叶有5小叶,稀为3小叶;叶柄长3~10cm,疏生细刺;小叶片椭圆状倒卵形或长圆形,长5~13cm,宽3~7cm,先端渐尖,基部阔楔形,上面粗糙,深绿色,脉上有粗毛,下面淡绿色,边缘有尖锐重锯齿;小叶柄长0.5~2.5cm,有棕色短柔毛。伞形花序单个顶生,或2~6个组成稀疏的圆锥花序,直径2~4cm,有花多数,总花梗长5~7cm,无毛;花柄长1~2cm,无毛或基部略有毛;花紫黄色;萼有不明显的5小齿或全缘;花瓣5,卵形,长1~2mm;雄蕊5,长1.5~2mm;子房5室,花柱全部合生成柱状。果实球形或卵球形,有5棱,黑色,直径7~8mm,宿存花柱长1.5~1.8mm。花期6~7月,果期8~10。

(图见《中国高等植物图鉴》.第2册.1036页.图3801)

生境与分布 生于海拔数百至2000m的森林或灌丛中。分布于黑龙江、吉林、辽宁、河北、山西。。【生药】:

参见同属植物“五加皮”条。

【化学】:

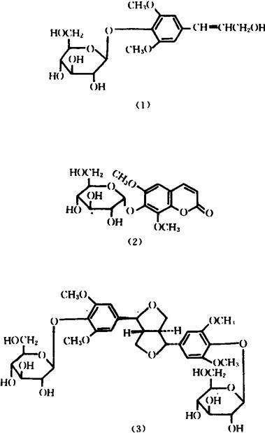
含刺五加甙B(Eleutheroside B紫丁香甙(Syringin)[3])(1)、刺五加甙B1(Eleutheroside B1)异秦皮定甙(Isofraxoside)(2)、刺五加甙A(Eleutheroside A,又称胡萝卜甙,Daucosterol)、刺五加甙C(乙基-α-D-半乳糖甙)、刺五加甙D和E(为不同构型的丁香树脂酚葡萄糖甙)(3),此外还含刺五加甙F、G、绿原酸(Chlorogenic acid)[1,6,7];异秦皮定(Isofraxetin)、β-谷甾醇(β-Sitosterol)[2]、原儿茶酸(Protocatechuic acid)、原儿茶酸乙酯(Ethyl protocatechuate)[4]、多糖[5]、芝麻素(Sesamin)、硬脂酸、白桦脂酸(Betulinic acid)、苦杏仁甙(Amygdalin)[9][10]

近年从根中分得2种三萜皂甙Ⅰ和Ⅱ,为原报春花素A(Protoprimulagenin A)的糖甙。Ⅰ的结构为:3β-{O-β-D-吡喃葡萄糖基-(1→3)-O-β-D-吡喃半乳糖基-(1→4)-[O-α-L-吡喃鼠李糖基-(1→2)]-O-β-D-吡喃葡萄糖醛酸基}-16α-羟基-13β,28-环氧齐墩果烷(3-β-{O-β-D-Glucopyranosyl-(1→3)-O-β-D-galactopyranosyl-(1→4)-[O-α-L-rhamopyranosyl-(1→2)]-O-β-D-glucuronopyranosyl}-16α-hydroxy-13β,28-epoxyoleanane)、Ⅱ的结构为:3β-{O-α-L-吡喃鼠李糖基-(1→4)-O-α-L-吡喃鼠李糖基-(1→4)-[O-α-L-吡喃鼠李糖基-(1→2)]-O-β-D-吡喃葡萄糖基-(1→x)-O-β-D-吡喃葡萄糖醛酸基}-16α-羟基-13β,28-环氧齐墩果烷(3β-{O-α-L-Rhamnopyranosyl-(1→4)-O-α-L-rhamnopyranosyl-(1→4)-[O-α-L-rhamnopyranosyl-(1→2)]-O-β-D-glucopyranosyl-(1→x)-O-β-D-glucuronopyranosyl}-16α-hydroxy-13β,28-epoxyoleanane)[8]

附 叶中尚含齐墩果酸型皂甙——刺五加叶甙(Senticosides)A、B、C、D、E、F、I、K、L、M[11];另据研究从刺五加叶的齐墩果酸等型皂甙名为刺五加叶甙(Ciwujianosides)A1、A2、A3、A4、B、C1、C2、C3、C4、D1、D2、D3、E[12][13]

参考文献 [1] CA 1980;93∶61087h [2] 中药通报 1986;11(1)∶18 [3] 中药通报 1986;11(4)∶234 [4] CA 1986;105∶2228029 [5] 中药通报 1982;17(3)∶178 [6] CA 1967;67∶54394h [7] 中药研究文献摘要 1975~1979.科学出版社,1986∶494 [8] J Nat Prod 1991;54(4)∶1044 [9] 沈阳医药 1986;(1)∶23 [10] 中国中药杂志 1993;18(7)∶428 [11] CA 1970;73∶12774e.CA 1972;76∶59965r,70053n [12] Chem Pharm Bull 1989;37(1)∶42.1988;36(2)∶601 [13] 中草药 1989;20(5)∶39(231)。

【药理】:

❶ 对中枢神经的作用 刺五加浸膏6g/kg ig,以小鼠跳台法、避暗法试验表明,刺五加能显著对抗东茛菪碱所致小鼠记忆获得障碍,对乙醇所致小鼠记忆再现障碍也有对抗作用[1]

刺五加花果挥发油、醇提物、水提物,均按相当生药量给药,10g/kg ip,均可延长小鼠戊巴比妥钠睡眠时间[2]
❷ 对心血管的作用 刺五加注射液2g/kg iv(注射液浓度1g/ml,含总黄酮5mg),对垂体后叶素引起的兔急性心肌缺血有保护作用,注射液1ml(1g量)由侧管加入灌流液,可增加兔、猫离体心脏冠脉流量,注射液1g/kg iv,对结扎犬冠脉前降支和第3分支引起的心肌梗塞区可缩小梗塞范围[3]。刺五加浸膏1.2~2.4mg/ml浓度,使大鼠离体心脏缺血再灌引起的室颤和室速发生率明显下降,使正常窦律时间增加,并可使异常动作电位显著减少[4]

❸ 对血栓形成血小板聚集的影响 刺五加茎叶乙醇提取液25~70mg/ml体外试验,能明显抑制ADP及胶原所诱导的兔血小板聚集,700mg/kg iv,明显抑制ADP诱导的兔血小板聚集,1000mg/kg iv,明显抑制ADP诱导的大鼠血小板聚集,体外试验,1g/ml浓度,用0.1,0.05ml加于1ml兔血浆试液中,可使血浆复钙时间明显延长[5]

刺五加茎叶醇提液20g/kg ip,对胶原-肾上腺素混合液诱导的小鼠血栓形成有抑制作用,可降低动物死亡率[6]
❹ 降血糖 刺五加醇浸膏(1∶10稀释)10ml/kg ig,对四氧嘧啶引起的大鼠糖尿病有预防作用(在给四氧嘧啶前预给药)[7]

刺五加总甙降血糖作用与其促进组织摄取葡萄糖作用有关[8]
❺ 对核酸、蛋白质代谢的影响 刺五加醇提液3g/kg ip,连续3d,对小鼠脑内蛋白质、核糖核酸、脱氧核糖核酸的合成,均有促进作用[9]
❻ 对胆固醇代谢的影响 刺五加浸膏15mg/只ig,连续3wk,使豚鼠肝细胞微粒体及小肠粘膜匀浆中胆固醇合成限速酶即羟甲基戊二酰辅酶A还原酶(HMGR)活力明显受到抑制,对肝细胞微粒体胆固醇分解的限速酶即胆固醇7α-羟化酶有明显激活作用,但对正常豚鼠血清总胆固醇及高密度脂蛋白胆固醇的浓度均无明显影响[10]
❼ 抗炎免疫作用 刺五加茎浸膏9g/kg ip或ig,对小鼠二甲苯耳炎均有抑制作用,根浸膏9g/kgig,也有抑制作用,茎浸膏10g/kg ip,对大鼠角叉菜胶性足跖肿胀有抑制作用;茎浸膏10g/kg ig,连续21d,对佐剂引起的足部早期渗出性炎症及迟发型变态反应所致的足部炎症均有抑制作用;茎浸膏9g/kg ip,连续6d,对大鼠棉球肉芽肿有抑制作用;茎浸膏9g/kg sc,对小鼠腹腔巨噬细胞吞噬功能有促进作用[11]。刺五加浸膏20g/kg,刺五加多糖200mg/kg ip,连续5d,均可使小鼠脾细胞对羊红细胞粘附的玫瑰花结形成率增加[12].刺五加多糖0.34g/kg ip连续3d使小鼠幼鼠脾重增加,胸腺缩小,0.34g/kg ip,可对抗环磷酰胺引起的小鼠脾脏缩小和血液白细胞的减少,0.067g/kg sc,连续3d,可使小鼠脾抗体形成细胞增加,对小鼠碳粒廓清和DNCB引起的迟发型变态反应无影响[13]。刺五加多糖12.5~100mg/kg ip,可明显增加小鼠脾细胞分泌的IgM形成的溶血空斑(PFC),剂量为100mg/kg时,也可增加小鼠脾细胞分泌IgG的PFC,及小鼠由牛血清白蛋白(BSA)诱导的迟发型超敏反应[14]

刺五加多糖100mg/kg ip,连续10d,对去除骨髓T细胞并进行异基因骨髓移植的小鼠,可使其对胸腺不依赖抗原TNP-Ba的PFC反应及对ConA和 LPS的增殖反应,均较对照组小鼠明显增加,但对胸腺依赖抗原羊红细胞的PFC反应以及BSA诱导的迟发型超敏反应无明显改善[15]。刺五加多糖10μg/ml浓度,对S801及S7811二个白血病细胞系有干扰素促诱生作用,对Namulva细胞也有此作用,刺五加甙B 5μg/ml浓度,对S801有干扰素促诱生作用[16]。刺五加花果的挥发油、醇提物,按相当生药量给药,10g/kg ip,连续5d,可提高小鼠腹腔巨噬细胞的吞噬作用[2]
❽ 抗癌作用 刺五加浸膏50g/kg ip,连续7d,对小鼠肉瘤S180及艾氏腹水癌实体瘤有抑制作用,刺五加多糖1g/kg ip,连续7d,对小鼠肉瘤S180有抑制作用[12]。刺五加多糖0.34g/kg sc,连续10d,对小鼠肉瘤S180,S37及肝癌(腹水型)均有抑制作用[13]
❾ 延缓衰老作用 刺五加粉与饲料按1∶3混合,喂饲2mo,可使老年大鼠纹状体、中脑和延脑中单胺氧化酶MAO-B活性明显下降[17]

刺五加粉喂饲22月龄大鼠,24g/kg,连续2mo,可使大鼠红细胞膜脂质过氧化物含量降低17.75%,使Na+,K+-ATP酶活性升高17.42%,说明刺五加有延缓衰老作用[18]刺五加粉给药方法同上,可提高老年鼠心肌钙调素含量,腺苷酸环化酶肾上腺素激活活性也提高,说明是通环核苷酸途径改善心脏功能[19]
❿ 抗疲劳作用 以小鼠爬绳试验测得刺五加总甙的兴奋单位(SUA33,一个单位为实验动物与时照组比较延长衰竭时间33%)为2000~8000/100g,证明刺五加有抗疲劳作用[20]

刺五加浸膏15mg/kg ip,使大鼠游泳后休息1h,可完全消除氧债,而对照组氧债水平仍高于正常鼠42%[21]。刺五加浸膏8ml/d,连服15d,可增强人的体力活动[22]。 ⑾抗放射线的损伤作用 刺五加根提取的热稳定组分0.2ml/只(46mg/ml)ip,可增加受x射线损伤小鼠的存活率,并可改善血象[23]。刺五加浸膏25g/kg于小鼠微波照射21d后ig,连续10d,可使血液血小板数明显高于对照组[24]

刺五加茎浸膏9g/kg ip连续3或6d,预防给药,对小鼠60钴r射线照射引起的骨髓有核细胞减少有明显保护作用,对脾与胸腺的萎缩无明显影响[11]。 ⑿耐缺氧、缺血作用 刺五加花果挥发油、醇提物,按相当的生药量10g/kgip,可延长小鼠在常压缺氧下的存活时间[2]。刺五加浸膏1ml/kg sc,可提高实验性脑缺血大鼠的存活率,还增强正常或脑缺血大鼠的游泳能力[25]。刺五加浸膏1ml/kg sc,术前2wk开始给药,术后再给4wk,可提高结扎左颈动脉造成脑缺血大鼠对缺血的抵抗力,对抗脑缺血造成的脑蛋白质含量的降低及DNA和RNA含量的升高[26]

刺五加茎叶的醇提液20g/kg ip,对小鼠断头造成的急性脑缺血,可使喘气时间延长,对结扎两侧颈动脉小鼠,可使存活时间延长,对常压缺氧小鼠,也延长存活时间,对NaNO2200mg/kg ip的中毒小鼠,也可延长小鼠存活时间[6]。 ⒀降低抗癌药物的毒性 刺五加浸膏1~5ml/kg与抗癌药环磷酰胺20~40mg/kg、Benzotepa 8~20mg/kg或Ethymidine 0.7~6.0mg/kg ip,同用于小鼠S180或大鼠瓦克癌,可降低抗癌药的毒性[27]

⒁其它 刺五加浸膏40mg/kg ip可刺激肝脏部分切除的小鼠的肝再生[28]。刺五加水提物160mg/kg ip,连续4d,可增加对硫磷(Parathion)对小鼠的毒性、红细胞乙酰胆碱脂酶活力下降[29]

毒性 刺五加注射液iv,小鼠的LD50为51.85±2.01g/kg[3]。刺五加茎浸膏ip,小鼠的LD50为91.3±5.2g/kg,根浸膏为95.2±8.0g/kg[11]

刺五加根醇浸水溶液每日ig 18.3g/kg(人常用量60~100倍),连续15d,或兔每日im 6g/kg,连续15日,不论血象、肝、肾的肉眼及组织学检查均未发现变化,刺五加总黄酮水溶液小鼠ig每只每日5.8mg/kg,连续3d,观察7d,动物全部存活,未见异常[30,31]

参考文献 [1] 中药药理与临床 1990;6(5)∶16 [2] 中成药研究 1984;(5)∶23 [3] 药学通报 1986;2(10)∶601 [4] 中国中药杂志 1989;14(8)∶493 [5] 沈阳药学院学报 1989;6(1)∶57 [6] 沈阳药学院学报 1992;9(4)∶290 [7] CA 1967;67∶80980r [8] CA 1978;88∶ 115363e [9] 中成药 1993;15(6)∶30 [10] 中西医结合杂志 1987;7(8)∶483 [11] 中草药 1984;15(8)∶351 [12] 中草药 1980;11(7)∶313 [13] 癌症 1984;3(3)∶191 [14] 中成药 1980;12(3)∶25 [15] 北京医科大学学报 1989;21(4)∶289 [16] 中草药 1990;21(1)∶27 [17] 中药药理与临床 1991;7(3)∶16 [18] 中药药理与临床 1991;7(6)∶31 [19] 中药药理与临床 1992;8(2)∶36 [20] CA 1969;71∶48128r [21] CA 1972;76∶54331w [22] CA 1975;83∶188498i [23] 生药学杂志(日) 1985;39(2)∶139 [24] 中药通报 1982;7(3)∶32 [25] CA 1979;90∶197767t [26] CA 1979;90∶149662h [27] CA 1968;68∶1930u [28] CA 1972;76∶30646b [29] 中国药理学报 1984;5(4)∶278 [30] 中医药研究 1973;(1)∶1 [31] 上海科技新药汇编 上海科学技术出版社,1976∶185。

【药性】:

参见同属植物“五加皮”条。

随便看

 

离鸟网收录3541549条中英文词条,其功能与新华字典、现代汉语词典、牛津高阶英汉词典等各类中英文词典类似,基本涵盖了全部常用中英文字词句的读音、释义及用法,是语言学习和写作的有利工具。

 

Copyright © 2004-2024 vtrois.com All Rights Reserved
更新时间:2026/5/25 12:06:16