网站首页  词典首页


请输入您要查询的字词:

 

字词 刺果番荔枝
类别 中英文字词句释义及详细解析
释义 刺果番荔枝

【概况】:

基源 为番荔枝科番荔枝属植物刺果番荔枝的果实。

原植物 刺果番荔枝Annona muricata L.,又名红毛榴莲(海南)。

形态 常绿乔木,高达8m。

叶纸质,倒卵状矩圆形至椭圆形,长5~18cm,宽2~7cm,无毛,叶面有光泽;侧脉每边8~13条,两面略凸起。

花蕾卵圆形,花淡黄色,长3~8cm;外轮花瓣厚,阔三角形,长达5cm,内轮较薄,卵状椭圆形,长达3.5cm,基部具短柄;花丝肉质,药隔膨大;心皮被毛;果卵圆状,长达35cm,直径达15cm,幼时具有下弯的刺,老时渐脱落。果肉白色,微酸多汁。种子肾形。

(图见《中国高等植物图鉴》.补编第1册.541页.图8655)

生境与分布 原产热带美洲。中国台湾、广东,广西和云南有栽培。。【化学】:

1982年从番荔枝科植物尖叶紫玉盘Uvaria acuminata根中发现紫玉盘内酯(Uvaricin),具有显著的抗癌及杀虫活性[1]

在番荔枝属植物相继发现较多的同类型化合物,习称番荔枝内酯类(Acetogenins)化合物[2]

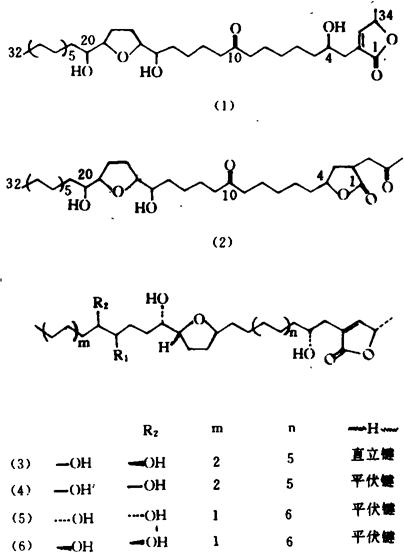
从刺果番荔枝的种子中已得到番荔枝内酯(Annonacin)、异番荔枝内酯(Isoannonacin)、番荔枝内酯-10-酮(Annonacin-10-one)、异番荔枝内酯-10-酮(Isoannonacin-10-one)、哥纳香内酯(Goniothalamicin)、巨哥纳香内酯(Gigantetrocin)[3]、双环氧番荔枝宁(Diepomuricanin)、环氧番荔枝宁A(Epomuricenin A)环氧番荔枝宁B(Epomuricenin B)、Solamin、Murisolin、Corossoline[4]、番荔枝单内酯(Muricatacin)[5]、海南哥纳香甲素(Howiicin A)、海南哥纳香乙素(Howiicin B)、4-去氧海南哥纳香乙素(4-Desoxyhowiicin B)、新番荔枝内酯-10-酮(Neo-annonacin-10-one)、新异番荔枝内酯-10-酮(Neo-iso-annonacin-10-one)(1)、异新番荔枝内酯-10-酮(Iso-neoannonacin-10-one)(2)[8]

又含刺果番荔枝内酯A(Muricatetrocin A)(3)、刺果番荔枝内酯B(Muricatetrocin B)(4)、巨哥纳香内酯B(Gigantetrocin B)(5)、巨哥纳香内酯A(Gigantetrocin A)(6)[9]

又种子中去乙酰紫玉盘内酯(Desacetyluvaricin)、海南哥纳香己素及庚素(Howiicin F.G)[12]

刺果番荔枝茎皮中得到环氧番荔枝素A(Epoxymurin A)、环氧番荔枝素B(Epoxymurin B)、双不氧番荔枝宁(Diepomuricanin)及Solamin[10];根和茎皮中另有刺果番荔枝碱(Anomuricine)、甲基刺果番荔枝碱(Anomurine);茎皮中尚有Atherosperminine、Muricinine和Muricine(后者结构未明)[11]

参考文献 [1] J Org Chem 1982;47∶3151~3 [2] J Nat Prod 1990;53(2)∶237 [3] Planta Med 1993;59(2)∶91~2 [4] Phytochemistry 1993:34(1)∶281~5 [5] Heterocycles 1990;31(5)∶861 [6] Canadian J Chemistry 1991;69(1)∶8 [7] Tetrahedron Lett 1991;32(9)∶1137 [8] 云南植物研究 1994;16(2)∶187~90 [9] Helvetica Chimica Acta 1993;76(7)∶2433 [10] Tetrahedron 1993;49(31)∶6913 [11] Dictionary of Alkaloids,Chapman and Hall Ltd,1989∶92,120,254,739 [12] 云南植物研究 1994;16(3)∶309。

【药理】:

刺果番荔枝内酯A、B及巨哥纳香内酯A、B对人结肠癌HT-29细胞系有选择性的细胞毒作用,其作用强度至少是阿霉素(Adriamycin)的10倍[1],番荔枝内酯类(Acetogenins)化合物具有双四氢呋喃环型者其活性较具单四氢呋喃环型化合物为强[2][3]

参考文献 [1] Helvetica Chimica Acta 1993;76(7)∶2433 [2] Planta Med 1993;59(1)∶91 [3] J Nat Prod 1990;53(2)∶ 237

【药性】:

主治 福建中医药 1986;(2):“根:治疗急性赤痢、精神抑郁和脊髓骨痛,果实可治恶疮肿痛,并用作补脾药。……并有抗癌活性。”

随便看

 

离鸟网收录3541549条中英文词条,其功能与新华字典、现代汉语词典、牛津高阶英汉词典等各类中英文词典类似,基本涵盖了全部常用中英文字词句的读音、释义及用法,是语言学习和写作的有利工具。

 

Copyright © 2004-2024 vtrois.com All Rights Reserved
更新时间:2026/5/28 14:53:51