网站首页  词典首页


请输入您要查询的字词:

 

字词 前向联系
类别 中英文字词句释义及详细解析
释义 前向联系

赫希曼(A.O.Hirschman)在论述“不平衡增长”战略时首先提出了这一概念。

根据他的定义,“产品利用或前向联系效应,即任何在性质上并非惟一满足最终需求的活动,将导致利用其产品作为某种新生产活动投入的意图。”赫希曼认为,“如果某种产品由国内生产,可能会使生产者致力于开拓产品的新用途,并从事这方面的风险投资。某一产品的国内可获性,可以产生一种积极的作用,使其产品能作为适应新的‘牵引欲望’的经济活动投入品。”(1991,P.90)。

对前向联系投资的压力,主要来自现有生产者扩大产品市场并使产品市场多样化的努力,官方的发展政策一般不会特别关注前向联系投资。前向联系一般不能看作一种独立的诱发机制,因为它一般伴随著需求压力所造成的后向联系而发生。或者说,现有或预期的需求是前向联系作用表现出来的一项条件。但是,通过“钳形附带反馈效应”,前向联系可以加强后向联系的作用。

根据前向联系的概念,赫希曼批判了当时占主导地位的哈罗德-多马(Harrod-Domar)增长模型。该模型认为,经济增长仅取决于资本产出比率和可获取的资本量。他认为对投资决策的评价不仅依据决策对产出的直接贡献,而且还依据决策可能推动的进一步投资的多少,即决策的联系。

前向联系可以在投入-产出表的基础上进行测度。

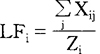
P·A·约托波洛斯(P.A.Yotopoulous)和J·B·纽金特(J.B.Nugent)给出了这方面的一个例子。根据他们的方法,任何一种工业的直接前向联系可以估量为:

式中:LF是第i项工业的前向联系指数,Xij是每个j项用户工业购买的第i项工业的产量,而Zi是中间使用和最终使用的商品i的产值总数(约托波洛斯、纽金特,1973)。

使用投入-产出表测度前向联系的问题是,投入-产出分析本质上描述的仅是某一特定时期的情况,而前向联系效应则需要时间以逐步展开。在工业化伊始的国家中,当时的投入-产出表可能显示不出对某一生产线的投资会创立那种新的工业部门。

然而,一旦发展中国家已有了相当广泛的工业基础,因而对某工业部门的投资导致的主要是其他工业部门的扩张而不是创立时,用以投入-产出表为基础的统计方法测度前向联系效应就会更有意义。此外,这种方法还有可能低估机器设备工业前向联系的重要性。

因为这一行业向其他行业的销售是一种资本形成,在投入-产出表上是作为对最终需求的支付。

前向联系的概念有助于对增长过程的理解,但主要是作为制定和评价发展战略的一般思路。

赫希曼认为束缚经济发展的首要因素,是决策能力和企业家才干。他批评平衡增长论者为了强调国民经济各部门的均衡发展和各项产品的广大市场的全面形成,而过低估计了建设项目可能迟迟难于建成,建成之后生产又缺乏效率的情况,从前向联系的概念出发,他主张不要同时发展各项工业,而应当集中力量发展那些前向联系效应比较大的工业部门,以它们为动力,逐步扩大对其他部分工业的投资。这样,发展中国家有可能比平衡增长时发展得更快。不幸的是,偏巧发展中国家的典型特征之一是缺乏经济活动之间的相互依存性。

初级产品的生产与其他部门的前向联系虽然在可能性上较大,但在实际上并不大。尤其是在出口“飞地”型发展形式下,生产的初级产品基本上流向国外,对本国经济没有产生显著的影响。由此可见,单一发展初级产品生产的发展战略不利于一国经济的快速增长。与此相反,制造业具有较大的前向联系,能强化发展的累积性效应。

这成为支持工业化的又一个有力的理由。

参考文献:

约翰·伊特韦尔等编,1996,《新帕尔格雷夫经济学大辞典》,经济科学出版社。

赫希曼,1991,《经济发展战略》,经济科学出版社。

马尔科姆·吉利斯等,1989,《发展经济学》,经济科学出版社。

Hirschman,A.0.1968,The political economy of importsubstituting industrialization in Latin America,Quarterly Journal of Economics,vol.82,1-32.

Yotopoulous,P.A.Nugent,J.B.1973,A balanced growth version of the linkage hypothesis:a test,Quarterly Journal of Economics,vol.87,157-171.

随便看

 

离鸟网收录3541549条中英文词条,其功能与新华字典、现代汉语词典、牛津高阶英汉词典等各类中英文词典类似,基本涵盖了全部常用中英文字词句的读音、释义及用法,是语言学习和写作的有利工具。

 

Copyright © 2004-2024 vtrois.com All Rights Reserved
更新时间:2026/5/27 4:49:02