网站首页  词典首页


请输入您要查询的字词:

 

字词 前胡
类别 中英文字词句释义及详细解析
释义 前胡

【名称出处】:《别录》

【概况】:

异名 官前胡(四川、浙江)。

基源 为伞形科前胡属植物前胡和当归属植物紫花前胡的根。前胡属全世界约有130种;中国产30余种,约有8种入药。

原植物 前胡Peucedanum praeruptorum Dunn,又名白花前胡(《中国高等植物图鉴》),鸡脚前胡(四川、湖北)。紫花前胡Angelica decursiva(Miq.)Franch et Sav[Peucedanum decursivum(Miq.)Maxim.],又名土当归(江苏、安徽、江西、湖南),鸭脚前胡、鸭脚当归(湖南),独活(浙江、江西)。

历史 前胡始载于《别录》。《图经本草》载:“春生苗,青白色,七月内开白花,与葱花同类……,青白色,似邪蒿……”。附有5幅前胡图,其中3幅为伞形科植物。《纲目》载:“前胡有数种,惟以苗高一二尺,色似邪蒿,叶如野菊而细瘦,嫩时可食,其蛇床子花,其根皮黑,肉白,有香气为真,大抵北地者为胜,故方书称北前胡。”所述前胡正品应为前胡。《中国药典》1985、1990年版收载的前胡,其原植物为前胡和紫花前胡。

形态 前胡为多年生草本,高0.6~1m。根颈粗壮,灰褐色,存留多数越年枯鞘纤维;根圆锥形,末端细瘦,常分枝。

茎圆柱形,髓部充实。基生叶具长柄,叶柄长5~15cm,基部有卵状披针形叶鞘;叶片轮廓为卵形或三角状卵形,3出式二~三回分裂,末回裂片菱状倒卵形,先端渐尖,基部楔形至截形,边缘具不整齐的3~4粗齿或圆锯齿,有时下部锯齿呈浅裂或深裂状,长1.5~6cm,宽1.2~4cm,两面无毛,或在下面叶脉及边缘偶有稀疏短毛。

复伞形花序多数,顶生和侧生,伞形花序直径3.5~9cm;花序梗上端多短毛;总苞片无或1至数片,线形;伞辐6~15,不等长,长0.5~4.5cm,内侧有短毛;小总苞片8~12,卵状披针形,大小不等,比花柄长,与果柄近等长,有短糙毛;小伞形花序有花15~20;花瓣卵形,小舌片内曲、白色;萼齿不显著,花柱短,花柱基圆锥形。双悬果的分生果爿为卵圆形,背部扁压,长约4mm,宽3mm,棕色,有稀疏短毛;背棱线形稍突起,侧棱扩展成较厚的窄翅,合生面紧紧锲合,不易分离;棱槽内油管3~5个,合生面油管6~10。

花期8~9月,果期10~11月。(图见《中国植物志》.第55卷.第3分册.146页.图版63)

生境与分布 生于海拔250~2000m的山坡林缘、路旁或半阴性的山坡草丛中。

分布于甘肃、江苏、安徽、浙江、江西、福建、河南、湖北、广西、四川、贵州。

紫花前胡与前胡的主要区别在于:茎中空,常带紫色。叶片一回3全裂或一~二回羽状分裂,第一回裂片的小叶梗翅状延长,侧裂片和顶端裂片的基部联合,沿叶轴呈翅状延长,翅边缘有锯齿,末回裂片卵形或长圆状披针形,长5~15cm,宽2~5cm边缘有白色软骨质锯齿,背面主脉常带紫色。花深紫色;花药暗紫色;萼齿明显。花期8~9月,果期9~11月。(图见《中国植物志》.第55卷.第3分册.30页.图版11)生于山坡林缘、溪沟边或灌丛中。

分布于辽宁、河北、陕西、江苏、安徽、浙江、江西、台湾、河南、湖北、广东、广西、四川。日本、朝鲜和原苏联远东地区也有分布。

此外,在局部地区还有用以下种类作为前胡使用。

❶ 华中前胡Peucedanum medicum Dunn,又名光前胡(四川),光头独活(四川万县、巫山、巫溪)。

与上述两种不同之处在于:根茎粗大,有环纹突起,常带紫色;叶轮廓为宽三角状卵形,长14~20cm,宽7~20cm,末回裂片卵状菱形或斜卵形,宽大,革质,2~5cm,宽1.5~5cm。伞形花序大,直径可达15cm。

果实亦大,长6~7mm,宽3~4mm;每棱槽内油管3,合生面油管8~10。花期7~9月,果期9~11月。(图见《中国植物志》.第55卷.第3分册.170页.图版75)生于海拔700~2000m的山坡草丛中和湿润的岩石上。分布于江西、湖北、湖南、广东、广西、四川、贵州。湖北及四川东部有些地区以根作“光前胡”入药。
❷ 红前胡Peucedanum rubricaule Shan et Sheh,又名旱前胡(云南)。

与上述种类之区别在于:根长圆锥形,表皮深褐色。常数茎丛生,略带紫色。基生叶具长柄,叶柄长5~12cm;叶片三回羽状全裂,末回裂片线形,全缘,长3~10mm,宽1~1.6mm。总苞片6~10,线形,长1~1.5cm。

花期7月,果期10月。(图见《中国植物志》.第55卷.第3分册.155页,图版67)生于海拔2000~3000m左右的山坡岩石边、草丛及矮灌丛中。

分布于四川(会东、会理、米易、敍永)、云南(昭通、大理、维西、中甸、丽江)。云南及四川南部有的地区用本种的根称“红前胡”入药。

❸ 长前胡Peucedanum turgenufolium wolff与上述种类的区别在于:根细长圆柱形,长8~15cm,径0.6~1.5cm,下部通常具2~4分枝。

茎通常单一,劲直,常带淡紫色。叶末回裂片卵形或倒卵状楔形,长2~3cm,宽1.5~2.5cm。果实较小,长3~3.5mm,宽2~3mm。

花期7~9月,果期9~10月。(图见《中国植物志》.第55卷.第3分册.141页.图版60)生于海拔2000~3600m的高山向阳山坡草地、灌丛或河谷滩地上。分布于甘肃(迭部、卓尼)、四川(马尔康、松潘、小金、金川、茂汶、理县、汶川)等地。

四川西部及北部用本种的根称“长前胡”入药。
❹ 泰山前胡Peucedanum wawrii(wolff)Su(Seseli wawrae wolff)其主要特征为:叶末回裂片楔状倒卵形,基部楔形或近圆形,长1.2~3.5cm,宽0.8~2.5cm。伞形花序较小,直径1~4cm。

花期8~10月,果期9~11月。(图见《中国植物志》.第55卷.第3分册.134页.图版56)生于山坡草丛中和林缘路旁。分布于山东、江苏、安徽等地。山东有的地区用作“前胡”入药。
❺ 石防风Peucedanum terebinthaceum(Fisch)Fisch.ex Turcz.其主要特征为:叶为二面羽状全裂,末回裂片披针形或卵状披针形,基部楔形,边缘浅裂或具2~3锯齿。果实每棱槽内油管1,合生面油管2。

花期7~9月,果期9~10月。(图见《中国植物志》.第55卷.第3分册.157页.图版68∶1-5)生于山坡草地、林下及林缘。分布于黑龙江、吉林、辽宁、河北、内蒙古。原苏联也有分布。河北、陕西、山东、河南等的有些地区用根作“前胡”入药。
❻ 宽叶石防风Peucedanum terebinthaceum(Fisch.)Fisch.ex Turcz var.deltoideum Makino(P.deltoideum Makino ex Yabe),又称风芹(辽宁千山)。为石防风的变种,其不同点为:植株较高大,叶片较宽,轮廓为阔三角状卵形,末回裂片也较宽,边缘锯齿粗大,叶质较硬而厚。生于林下灌丛间。分布于吉林、辽宁、河北。在这些地区内有的地方也将本种作为“前胡”入药。。【生药】:

栽培 前胡宜冷凉湿润气候,适应性较强。

以土层深厚、肥沃的砂质壤土为好。用种子繁殖,于3~4月播种育苗。按行距20cm开划浅沟,将种子撒入沟内,覆薄土,以不见种子为度。

播出盖草保墒,以利发芽。

出苗后揭草,结合松土除草追施稀人畜粪水1~2次。培育1年,至翌年春季移栽,按株行距50×66cm穴栽,深5~10cm。

也可于春季进行分根繁殖。移栽后,结合中耕除草追肥3~4次;秋季应及时摘除花蕾,促使根部生长粗壮。

采集 秋末冬初植株枯萎时或春季3~4月均可采挖,以秋冬季节采收最适宜,挖出根部,除去苗叶残茎、抖净泥沙,去掉细根,晒干或微火炕干。

白花前胡主产于浙江淳安、临安,湖南邵阳、邵东、安化,四川彭县,灌县;此外广西、安徽、江苏、湖北、江西、福建亦产。以浙江产量最大,品质亦优,湖南邵东一带产者,又名信前胡,质量亦佳。紫花前胡主产于江西修水,安徽宁国、绩溪;此外湖南、浙江等地亦产。

鉴别

性状 ❶ 白花前胡 根不规则圆柱形、圆锥形或纺锤形,稍扭曲,下部常有分枝,长3~15cm,直径1~2cm;表面黑褐色或灰黄色,根头部多有茎痕及纤维状叶鞘残基,上端有密集的细环纹,下部有纵沟、纵皱纹及横向皮孔。质较柔软,干者质硬,可折断,断面不整齐,淡黄白色,皮部散有多数棕黄色油点,形成层环纹棕色,射线放射状。气芳香,味微苦辛。
❷ 紫花前胡 根头顶端有的残留茎基,茎基周围常有膜状叶鞘基部残留。

断面类白色,射线不明显。均以条粗壮、质柔软、香气浓者为佳。

显微 ❶ 白花前胡根横切面:木栓层为10余列木栓细胞。韧皮部宽厚,散有多数油室,径向40~78μm,切向50~120μm,韧皮射线略弯曲。形成层成环。木质部导管直径5~60μm,放射状排列,有较多油室,木射线宽2~4列细胞。本品薄壁细胞中含淀粉。(图见《中药志》.第2册.第2版.468页.图345)粉末:淡黄棕色。

1)石细胞 橙黄色或淡黄色,类方形、类长方形,类三角形或长条形,直径22~97μm,长66~206μm,壁厚3~40μm,有的胞腔内含橙色物。 2)木栓细胞 淡棕黄色,常数十层重叠,断面观细胞极扁平,排列整齐,径向3~13μm,切向25~216μm,壁木化。 3)油室碎片 时可察见,含淡黄色油滴状分泌物。 4)具缘纹孔、网纹导管 直径9~80μm;有的导管腔内充满鲜黄色条块状物。 5)木纤维 黄色,棱形,长83~312μm,直径15~26μm,壁厚3~8μm,纹孔较稀。 6)淀粉粒 单粒类圆形、广卵圆形、贝壳形或矩圆形,直径2~15μm,脐点点状或裂缝状;复粒由2~4分粒组成。此外,木射线细胞类长方形,部分径向壁连珠状。(图见《中药材粉末显微鉴定》.125页.图56)❷ 紫花前胡根横切面:韧皮部油室众多,径向44~90μm,切向58~150μm,木质部导管直径7~56μm,无油室分布,木射线宽2~3列细胞。

粉末:淡红棕色。

1)厚壁细胞,类方形或长方形,直径25~78μm,长51~128μm,壁厚2~7μm,微木化,纹孔斜裂缝状,径向3~12μm,切向25~199μm。 2)油室碎片中黄色分泌物成条状,直径38~75μm。 3)网纹、梯状网纹具缘纹孔导管直径9~75μm。

4)木射线细胞类方形,纵向壁呈明显连珠状,横向壁孔沟明显,纹孔较密。 5)木纤维细长,纹孔较细粉粒单类圆形或圆三角形,直径5~18μm,脐点点状、人字状或星状;复粒由2~7分粒组成。(图见《中药材粉末显微鉴定》.127页.图57)

理化 ❶ 取样品粉末2g,加乙醚6ml,冷浸4小时,滤过,滤液浓缩至千,残渣加氯仿10ml溶解,点于硅胶G板上,白花前胡以白花前胡丙素和丁素为对照,紫花前胡以伞形花内酯为对照,以石油醚-乙酸乙酯(1∶1)为展开剂,展距17.5cm,置荧光灯下检视,白花前胡丙素、丁素显紫色斑点,伞形花内酯显蓝色斑点。

(图见《中药志》.第2册.第2版.469页.图346、347)

加工炮制 蜜前胡 取炼蜜、用适量开水稀释后,加入前胡片拌匀,润透,置锅内,用文火加热,炒至不粘手为度,取出放凉。

每100kg前胡片,用炼蜜25kg。

贮藏 置阴凉干燥处,防霉,防蛀。

蜜前胡须密闭。

【化学】:

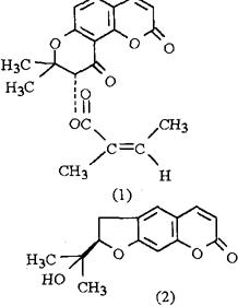
白花前胡中多为邪蒿内酯型香豆素,紫花前胡中多为花内酯型香豆素,共分到50余个香豆素化合物[11],紫花前胡素(Decursin)、紫花前胡次素(Decursidin)、伞花内酯(Umbelliferone)[1]、白花前胡甲素、乙素〔(±)Praeruptorin A、B]、白花前胡丙素、丁素〔(+)Praeruptorin A、B]、甘露醇[2]、(+)-3′-(R)-当归酰氧-4′-酮-3′,4′-二氢邪蒿内酯〔Pd-Ⅰb或(+)3′-(R)-Angeroyloxy-4′-keto-3′4′-dihydroseselin〕(1)、(+)-3′-(S)-当归酰氧4′-(S)-异戊酰-氧-3′,4′-二氢邪蒿内酯〔Pd-Ⅲ或(+)-3′(S)-Angeroyloxy-4′-(S)-isovaleryloxy-3′,4′-dihydroseselin〕[3]以及Pd-Ⅰ a和Pd-Ⅱ[10]、(+)白花前胡素E(Praeruptorin E)[13]、香柑内酯(Bergapten)、紫花前胡甙(Nodakenin)和甙元、3′-(S)-异戊烯酰氧-4′(R)-羟基-3′,4′-二氢花椒内酯〔Pd-C-I或3′-(S)-Senecioyloxy-4′(R)-hydroxy-3′,4′-dihydroxanthyletin]、3′(S)-羟基-4′-(R)-异戊烯酰氧-3′,4-二氢花椒内酯〔Pd-C-Ⅱ或3′-(S)-Hydroxy-4′(R)-senecioyloxy-3′,4′-dihydroxanthyletin〕、3′(S)-当归酰氧-4′(R)-乙酸基-3′,4′-二氢花椒内酯〔Pd-C-Ⅲ或3′(S)-Angeloyloxy-4′(R)-acetoxy-3′,4′-dihydroxanthyletin〕、紫花前胡内酯(Nodakenetin)(2)[4]、3′(S)-乙酸基-4′(R)-异戊酰氧-3,4′-二氢花椒内酯(Pd-C-Ⅳ)、3′(S)-乙酸基-4′(R)-异戊酰氧和3′(S)-乙酸基-4′(R)-当归酰氧-的3′,4′-二氢花椒内酯混合物(Pd-CV)、3′-(S)-当归酰氧-4′(R)-异戊酰氧3′,4′二氢花椒内酯(AD-Ⅰ)[5]、紫花前胡内酯甙Ⅰ,Ⅱ,Ⅲ,Ⅳ,V(Decuroside Ⅰ,Ⅱ,Ⅲ,Ⅳ,V)[6]、白花前胡甙Ⅱ,Ⅲ,Ⅳ,V(PraerosideⅡ,Ⅲ,Ⅳ,V)[7]、白花前胡甙Ⅰ(Praeroside Ⅰ)、异芸香素(Isorutarin)、印度楹桲甙(Marmesinin)、芸香素(Rutarin)、茵芋甙(Skimmin)、东莨菪甙(Scopolin)[8]、前胡香豆素Ⅰ,Ⅱ,Ⅲ(Peucedanocoumarin Ⅰ,Ⅱ,Ⅲ)、普里克生(Pteryxin)[9]、芹糖茵芋甙(Apiosylskimmin)、前胡皂甙Ⅰ,Ⅱ,Ⅲ,Ⅳ,V(Pd-Saponin Ⅰ,Ⅱ,Ⅲ,Ⅳ,V)[10]

3′,4′-二羟基黄酮-7-二葡萄糖甙A和3′,4′-二羟基黄酮-7-二葡萄糖甙B[12]。此外还含甾醇[10]、挥发油、鞣质和糖类[1,11,14]

参考文献 [1] 全国中草药汇编.上册.人民卫生出版社,1983:569 [2] 药学学报 1979;14(8):486 [3] Plant Med 1981;42:89 [4] Plant Med 1982;44:199 [5] Plant Med 1984;50:117 [6] Plant Med 1986;52(2):135 [7] Plant Med 1988;54(4):323 [8] Plant Med 1989;55(1):64 [9] Plant Med 1990;56(3):307 [10] 国外医药植物药分册 1991;6(6):243 [11] 天然产物研究与开发 1993;5(2):1 [12] 国外医学中医中药分册 1989;11(4):60 [13] Plant Med 1981;42:1981 [14] 天然产物研究与开发 1993;5(2):1-17

。【药理】:

❶ 祛痰作用 麻醉猫ig紫花前胡煎剂1g/kg,呼吸道分泌液显著增加,说明有祛痰作用[1]

用碘液注入猫的肋膜腔引起咳嗽,ig前胡煎剂0.8,1.2,2.0g/kg均未见明显镇咳作用[2]
❷ 抗病源微生物作用香豆素成分伞花内酯及紫花前胡内酯有抗细菌及真菌作用[3]

鸡胚接种法证明,前胡煎剂(1∶1)对亚洲甲型流感病毒有抑制作用[4]
❸ 对心血管的作用 白花前胡丙素对离体豚鼠心脏有浓度依赖性抑制左心房收缩力的作用,50%抑制浓度(IC50)为49μmol/L;并可浓度依赖性地缩短功能性不应期;终浓度10μmol/L时对右心房的自律性及氯化钙的正性频率有明显抑制作用,对异丙肾上腺素的正性频率作用表现为非竞争性拮抗,pD′2值为4.8,而对肾上腺素诱发的异位自率性无影响;终浓度5~50μmol/L对左心房兴奋性无影响。临床上,肥厚性心肌病患者po前胡丙素90mg/d,连续2wk后,心肌顺应性有一定改善[5]。对离体兔主动脉条,pd-Ⅲ能非竞争性抑制氯化钙和高钾除极化所致的收缩,IC50分别为5.30和6.37μmol/L,pD′2分别为4.9和5.0;终浓度1或10μmol/L能抑制5-HT诱导的依外钙性收缩,但不影响依内钙性收缩及去甲肾上腺素诱导的收缩;5~50μmol/L之间能浓度依赖性地抑制豚鼠左心房的收缩阶梯现象。前胡丙素对血管和心脏的抑制作用可能与拮抗Ca2+有关,且主要影响经电压敏感性钙通道的外钙内流。前胡丙素抑制血管与心脏的IC50之比为1∶8,提示有一定的选择性扩血管作用[6]

前胡丙素对大鼠缺血再灌注工作心脏有保护作用[7]。麻醉猫iv白花前胡甲醇提取物(pd-MC)6.25,12.5mg/kg或正丁醇提取物(pd-BE)5.0,30mg/kg均能增加冠脉血流量,对心率及心电图无明显影响。但pd-MC起效慢、持续长、强度稍弱,同时不引起血压变化;而pd-BE起效快、持续短、强度较大,在增加冠脉血流量的同时引起血压降低[8]。前胡丙素及白花前胡素E使麻醉犬冠脉左旋支、椎动脉、股动脉阻力显著降低;离体猪冠脉条及离体豚鼠左心房试验证明前胡丙素及白花前胡素E有明显非竞争性钙拮抗作用;与前胡丙素一样,前胡素E也能抑制高钾除极化所致离体兔主动脉条收缩[9]

(+)白花前胡甲素、白花前胡素E、前胡丙素能延长小鼠耐缺氧时间[9、10]。前胡成分3′,4′-二羟基黄酮-7-二葡萄糖甙A和3′,4′-二羟基黄酮-7-二葡萄糖甙B对PAF引起的血压下降有明显拮抗作用,但对PAF引起的猝死未见防御作用[11]
❹ 对血小板聚集性的影响 前胡成分3′,4′-二羟基黄酮-7-二葡萄糖甙A及3′,4′-二羟基黄酮-7-二葡萄糖甙B对PAF引起的血小板聚集有抑制作用[11]。白花前胡乙醚提取物,紫花前胡乙醚提取物、乙酸乙酯提取物及正丁醇提取物均能在体外抑制ADP诱导的人血小板聚集[12]

紫花前胡甙元(Ncdakenetin)、(pdC-Ⅲ)、(pd-C-Ⅳ)等体外对ADP诱导的人血小板第一期、第二期聚集均有抑制作用,pd-C-V只能抑制第一期聚集。pd-C-Ⅰ、pd-C-Ⅱ及双香豆素(Dicoumarol)无明显影响[13]

前胡甙(Nodakenin)及Nodakenetin抑制血小板第一期聚集与其不具显著的钙拮抗作用有关[14]
❺ 对平滑肌的影响 白花前胡甲醇提取物及甲醇提取物细分离所得的乙醚、正丁醇、乙醇、水组份均能非竞争性拮抗由乙酰胆碱和组胺引起的离体豚鼠回肠平滑肌收缩,其中乙醚组份的拮抗作用最强;从乙醚组份中分离的吡喃香豆素成分pd-Ia、pd-Ⅱ、pd-Ⅲ也能非竞争性拮抗乙酰胆碱对小肠的收缩作用,其中pd-Ia作用最强。pd-Ia3×10-6g/ml能抑制细胞外Ca2+进入豚鼠结肠条所引起的K+去极化平滑肌的收缩作用,浓度3×10-5g/ml时pd-Ⅱ、pd-Ⅲ的作用不明显。用放射性Ca2+进行研究,发现pd-Ia能抑制Ca2+进入结肠平滑肌细胞。说明白花前胡抑制平滑肌收缩的主要有效成分是pd-Ia,作用机理为抑制Ca2+流入平滑肌细胞[15]。利用Ca拮抗作用的简便特异性检测法-大鼠子宫的Ca逆转现象-对前胡香豆素进行研究,发现在pd-Ia、pd-Ⅱ、pd-Ⅲ、pd-la-OH、pd-Ia-OC2H5、pd-C-Ⅱ、pd-C-Ⅲ、pd-C-Ⅳ中,pd-Ia对Ca的拮抗作用最强[14]

❻ 抗过敏作用 用前胡香豆精成分pd-Ia、pd-Ia的光学异构体Bf-3、pd-C-Ⅱ、pd-C-Ⅲ、pd-C-Ⅳ对大鼠腹腔内肥大细胞进行前处理,可抑制刀豆蛋白A或磷脂酰丝氨酸诱发的组胺的游离及45Ca摄取。并且组胺游离抑制作用与Ca2+流入(45Ca摄取)的抑制作用之间具有正相关性。

各化合物作用强弱顺序为:pd-Ia>Bf-3>pd-C-Ⅱ=pd-C-Ⅲ>pd-C-Ⅳ。与此相反,pd-Ⅱ、pd-Ⅲ以及紫花前胡次素(Decursidin)则没有抑制作用。

提示这些香豆素类成分吡喃环3′(或4′)位的乙酰氧基及4′位千里光酰基对抑制作用的出现很重要。这些香豆素类成分在肥大细胞中可能由于阻碍Ca2+流入而抑制脱颗粒过程的[16]

pd-Ia-OH、pd-Ia-OC2H5对刀豆蛋白A刺激所致大鼠腹腔肥大细胞组胺及5-HT游离也有抑制作用,但没有pd-Ia作用强;并进一步证明Ca拮抗作用是其抗过敏作用的主要原因[14]
❼ 抗炎、抗溃疡作用 紫花前胡甲醇提取物及该提取物进一步分离得到的丁醇组份对小鼠ip醋酸引起的腹腔血管通透性亢进有同等程度的抑制作用。

显示抗炎效果[14]。紫花前胡甲醇提取物对小鼠水浸捆束引起的胃溃疡有显著抑制作用;但甲醇提取物细分离组份乙醚组份及丁醇组份却均能使应激性溃疡恶化[14]

参考文献 [1] 中华医学杂志 1954;40(5):331 [2] 中华医学杂志 1954;40(11):849 [3] CA 1962;56:1835b [4] 中医药研究资料 1975;(8):51 [5] 中国药理学报 1990;11(3):235 [6] 中国药理学与毒理学杂志 1990;4(2):104 [7] 药学学报 1992;27(10):727 [8] 中国医科大学学报 1988;17(4):255 [9] 中国药理通讯 1984;1(3~4):156 [10] 中草药 1982;13(9):43 [11] 国外医学 中医中药分册 1989;11(4):252 [12] 药学通报 1985;20(11):649 [13] Planta Med 1986;(2):132 [14] 汉方医学(日) 1985;9(11):1 [15] J Pharm Pharmcol 1981;33(5):317 [16] 国外医学 中医中药分册 1983;(3):50

。【药性】:

性味 苦、辛,凉。

❶ 《雷公炮炙论》:“甘、微苦。”
❷ 《别录》:“苦,微寒。”
❸ 《药性论》:“甘、辛。”
❹ 《滇南本草》:“寒,苦、辛。”
❺ 《纲目》:“甘、辛气微平。”

归经 入肺、脾经 ❶ 《纲目》:“手足太阴、阳明。”
❷ 《雷公炮制药性解》:“入肺、肝、脾、膀胱四经。”
❸ 《本草经疏》:“入手太阴、少阳。”

功效 宣散风热,下气,消痰。

主治 风热头痛,痰热咳喘,呕逆,胸膈满闷。 ❶ 《别录》:“主疗疾满胸胁中痞,心腹结气,风头痛,去痰实,下气。治伤寒寒热,推陈致新,明目益精。


❷ 《药性论》:“去热实,下气,主时气内外俱热,单煮服佳。”
❸ 《日华子本草》:“治一切劳,下一切气,止嗽,破癥结,开胃下食,通五脏,主霍乱转筋,骨节烦闷,反胃,呕逆,气喘,安胎,小儿一切疳气。”
❹ 《滇南本草》:“解散伤风伤寒,发汗要药,止咳嗽,升降肝气,明目退翳,出内外之痰。”
❺ 《纲目》:“清肺热,化痰热,散风邪。”

用法用量 内服:煎汤,4.5~9g;或入丸、散。

使用注意 ❶ 《本草经集注》:“半夏为之使,恶皂荚,畏藜芦。”
❷ 《本草经疏》:“不可施诸气虚血少之病。凡阴虚火炽,煎熬真阴,凝结为痰而发咳喘;真气虚而气不归元,以致胸胁逆痛;头痛不因于痰,而因于阴血虚;内热心烦,外现寒热而非外感者,法并禁用。

”。【临床应用】:

配伍应用 ❶ 配杏仁、苏子,治痰涎壅肺,咳嗽气急,痰稠咯吐不痰。

❷ 配佛耳草、嫩苏梗,治肺郁咳嗽,风寒外感。
❸ 配薄荷、桔梗,治风热咳嗽。
❹ 配杏仁、桑皮,冶肺热咳嗽,痰黄稠粘,胸部满闷不舒等症。
❺ 配半夏、陈皮、苏子,治疗肺气壅实,咳逆短气,或呕吐不食。

❻ 配白前、桑叶、薄荷,治疗风热感冒,咳嗽痰多、气急等症。
❼ 配白前、桑叶、杏仁、牛蒡子、桔梗,治疗外感风热咳嗽痰多。
❽ 配瓜蒌、贝母、桑白皮、知母、麦冬,治肺热咳嗽,痰黄粘稠难咯。
❾ 配麻黄、杏仁、石膏、甘草,治肺有郁热、气急喘促之证。
❿ 配荆芥、紫菀,治外感咳嗽,痰多不易出者。 ⑾配紫苏子、陈皮、枳实,治咳嗽胸闷痰多。 ⑿配羌活、柴胡、川芎,治外感寒湿,形寒发热,咳嗽、头痛、少汗等症。 ⒀配紫菀、百合、百部,治肺结核。

⒁配半夏、苏子、杏仁、枳实,治痰气互阻,胸膈不利,脘痞胸闷,呕吐不食等症。 ⒂配柴胡,治疗风热气滞不宣,胸胁疼痛,咳嗽有痰。 ⒃配杏仁,治疗风热咳嗽,气逆痰壅。 ⒄配紫菀,治风热或风燥袭肺,咳嗽有痰,胸满。 ⒅配白前,治咳嗽初起,肺气不宣,吐痰不爽,咽痒,胸闷气逆。

方选和验方 ❶ 前胡散(《圣惠方》)治咳嗽涕唾稠粘,心胸不利,时有烦热:前胡37g(去芦头),麦门冬55g(去心),贝母37g(煨微黄),桑根白皮37g(锉),杏仁18g(汤浸,去皮尖,麸炒微黄),甘草0.37g(炙微赤,锉)。上经捣筛为散。每服15g,以水300ml,入生姜0.18g,煎至6分,去滓,不计时候,温服。
❷ 前胡饮(《圣济总录》)治肺热咳嗽,痰壅,气喘不安:前胡(去芦头)55g,贝母(去心)、白前各37g,麦门冬(去心,焙)55g,枳壳(去瓤、麸炒)37g,芍药(赤者)、麻黄(去根节)各55g,大黄(蒸)37g。上8味,细切,如麻豆。

每服6g,以水200ml,煎取7分,去滓,食后温服,日二。
❸ 前胡丸(《太平圣惠方》)治心气劳、心胸噎塞,不下食,渐加羸瘦:前胡、赤茯苓、桃仁(麸炒)、陈皮、鳖甲(酥炙)、煨诃子各37g,木香、枳实(麸炒)、桂心、槟榔、半夏(汤浸7遍去滑,微炒)各1g。

为细末,炼蜜为丸梧桐子大,每服30丸生姜、橘皮煎汤送下。
❹ 金沸草散(《医部全录·鼻门》)治肺风疮:前胡、旋覆花各30g,赤芍(炒)、甘草各3g,半夏(制)15g,赤茯苓20g,荆芥穗45g。

为粗末,每服3~6g,姜3片,水煎服,每日3次。
❺ 前胡散(《太平圣惠方》)治小儿腹内痞结,壮热羸瘦,多啼:前胡、炒大黄各1g,赤茯苓、犀角、枳实(麸炒)、炒郁李仁、鳖甲(酥炙)各15g。

为粗末,每服3g,水煎服。
❻ 前胡汤(《备急千金要方》)治胸中逆气,心痛彻背,少气不食:前胡、半夏、甘草、芍药各6g,黄芩、当归、人参、桂心各3g,生姜、竹叶各10g,大枣20枚。

为粗末,水煎,分4次服。
❼ 前胡犀角汤(《医部全录·目门》)治伤寒,两目昏暗,或生浮翳:前胡(去芦)、犀角(屑)、蔓荆子、青葙子、菊花、防风、栀子仁、麦门冬(去心)、生地黄(焙)、羌活(去芦)、决明子(微炒)、车前子(微炒)、细辛、甘草(炙)各30g,黄芪45g。

上剉,每服15g,水300ml,煎至8分,去滓,食后温服。
❽ 前胡饮(《奇效良方》)治暴急成劳,痰盛喘嗽:前胡、官桂、人参、茯苓(去皮)、柴胡、炒枳壳、黄芩(去黑心)、生地黄、旋覆花、炙甘草、玄参各30g,麦门冬(去心)、半夏(洗7次)、白术各45g,厚朴(去粗皮、生姜汁炒)60g。为粗末,每服12g,加生姜7片,水煎去滓,不拘时服。
❾ 参苏饮(《易简方》)治疗发热头疼体痛,痰气上壅,咽喉不利:前胡、人参、紫苏叶、干葛、半夏、茯苓各1g,枳壳、陈皮、甘草、桔梗各15g。

姜、枣,水煎服。
❿ 《全国名老中医验方选集》:“治咳嗽发热:桑叶、前胡、连翘、桔梗各4.5g,杭菊、麦冬、石韦、生草各3g,薄荷3g,浙贝6g。清水煎2次,沸后5分钟取服,隔5小时1次,分2次服完。

” ⑾喘支汤(新中医 1989;(9))治小儿喘息样支气管炎:制南星(1岁以下10g)、桔梗、前胡、钩藤各12g,黄芩、甘草各5g。

水煎至80~100ml,加糖适量,分2次口服。 ⑿前胡鱼腥草汤(安徽中医学院学报 1991;(2))治慢性支气管炎急性感染:前胡12g,鱼腥草、蒲公英各30g,射干、苍耳子、杏仁、桃仁、地龙各9g,炙甘草6g。

水煎服,每日1剂。7天为1个疗程。

⒀清宁汤(安徽医学 1983;(4))治小儿百日咳:前胡、杏仁(去皮尖)、干地龙各5g,炙桑白皮6g,葶苈子(微炒)4g,车前子8g,甘草2g,南天竹3g。每日1剂,以水煎汁,头、二汁混和分4~6次于1天内服完。亦可酌加蜂蜜或白糖调味,以便小儿服用。 ⒁《黄一峰医案医话集》:“治疗精神分裂症(癫狂),证见因精神刺激而发,喃喃独语,喜怒无常,甚至骂人,夜间喊叫不安,惊惕不眠等:苏梗、前胡、牛蒡子、郁金、赤芍、竹茹、制半夏、陈胆星各9g,薄荷、紫菀、菖蒲各5g,陈皮6g,茯苓12g。每日1剂,水煎分3次服。” ⒂《张志雄医案选》:“治疗肺源性心脏病(饮邪恋肺),证见心悸气喘,倚息不得卧,胸闷,咳嗽痰豁不爽等:桂枝、紫菀、前胡、川贝、象贝各9g,炙苏子、泽泻、浮海石各12g,款冬花6g,车前子(包)30g,桔梗3g,大枣10枚。每日1剂,水煎分3次温服。” ⒃《临证偶拾》:“治疗支气管哮喘,证见呼吸困难,反复发作10余年,发作时两肺满布哮鸣音,形寒身热,咯痰不出等:前胡、杏仁、石斛、沙参、炒大力,炙苏子(包)各9g,炙桑皮,瓜蒌仁(打)各12g,川贝3g,薄荷(后下)4.5g,桂附八味丸(吞)9g。每日1剂,水煎分3次服。” ⒄《廖仲颐医案》:“治疗痢疾,证见下痢赤白脓血,里急后重,恶寒发热,头痛身痛等:党参、茯苓、枳壳、柴胡、前胡、羌活各10g,桔梗、独活、甘草各6g,川芎5g,生姜3片,陈米30g。每日1剂,水煎分3次服。” ⒅《蒲辅周医疗经验》:“治疗伤风型感冒,证见身微热、鼻塞,咳粘痰,剧烈头痛者:桂枝、杏仁、前胡、陈皮各6g,麻黄、桔梗各4.5g,甘草3g,法半夏6g,生姜3片。每日1剂,水煎服。

” ⒆《吴少怀医案》:“治疗小儿感冒(风热犯肺),证见发热,咳嗽气喘,痰多流涕,烦躁不安等:桑叶、连翘各3g,杏仁、前胡、橘红、浙贝、桔梗、炒苏子、炒山栀、甘草各1.5g,芦根4.5g。每日1剂,水煎分3次服。” ⒇《黄一峰医案医话集》:“治疗慢性鼻窦炎,证见经常头痛,鼻塞流清涕,气味臭秽,咳呛气急,两胁引痛等:前胡、牛蒡子、土藿香、苍耳子、制半夏、竹茹、焦黄芩、陈皮各10g,荆芥、防风、辛夷各6g,炒白芷、桔梗各5g,茯苓12g,杏仁9g。每日1剂,水煎分3次服。” (21)《蒲辅周医疗经验》:“治疗风热咽痛,咳咯黄痰者:桔梗、象贝、瓜蒌皮、前胡、竹茹各3g,生甘草、苏叶各15g,藏青果3枚,苡仁9g。每日1剂,每剂水煎2次,取160ml,分2次温服。” (22)《蒲辅周医疗经验》:“治疗麻疹初起,咳嗽流涕等:苏叶、桔梗、前胡各2.4g,僵蚕、葛根、牛蒡子各3g,荆芥1.5g,香豆豉9g,甘草0.9g,葱白7cm(后下)。每日1剂,水煎服。” (23)《河北中医验案选》:“治疗麻疹初起,证见发热、烦躁、面赤、唇红,耳后隐见散在大小不等的玫瑰丘疹,两目微红,流泪羞明等:前胡、薄荷、牛蒡子各4.5g,连翘、葛根、大青叶各6g,蝉蜕15g,山楂、石膏各9g,桔梗3g,芦根30g。每日1剂,水煎服。” (24)《黄一峰医案医话集》:“治疗麻疹初期,证见发热,咳呛痰多,眼红流泪,口腔粘膜有针尖样白色斑等:荆芥、防风、前胡、陈皮各6g,牛蒡子、象贝各10g,桔梗5g,蝉衣1.5g,茯苓12g,木香3g。每日1剂,水煎分3次服。

” (25)中西医结合杂志 1988;(6):“治无明显脱水和电解质紊乱的小儿腹泻:麻黄2~4g,前胡4~8g,用水煎成300ml左右,稍加白糖频服,每日1剂。” (26)浙江中医杂志 1980;(6):“治白癜风:补骨脂30g,前胡20g,浸泡于75%的乙醇100ml中。另取防风10g,浸于氯仿50ml中,各密闭浸泡7天。

两液混合,再密闭浸泡7天,用2~3层纱布过滤,去渣取滤液,装瓶避光,备用。用时外搽患处,每日2次。

注意防止药液流入眼内,倘搽后出现充血、红斑、水泡、灼热感等,可改用收敛消炎药治疗,待反应退后,继续用药。”。

【医药家论述】:

❶ 李时珍《纲目》:“前胡,乃手足太阴、阳明之药,与柴胡纯阳上升,入少阳、厥阴者不同也。其功长于下气,故能治痰热喘嗽,痞膈呕逆诸疾。气下则火降,痰亦降矣,所以有推陈致新之绩,为痰气要药。陶弘景言其与柴胡同功非矣,治证虽同,而所入所主则异。


❷ 倪朱谟《本草汇言》:“前胡,散风寒,净表邪、温肺气,消痰嗽之药也。如伤风之证,咳嗽痰喘,声重气盛,此邪在肺经也;伤寒之证,头痛恶寒,发热骨疼,此邪在膀胱经也;胸胁痞满,气结不舒,此邪在中膈之分也。又妊娠发热,饮食不甘;小儿发热,疮疹未形;大人痰热,逆气隔拒,此邪气壅闭在腠理之间也,用前胡俱能治之。

”“罗一经云,前胡去寒痰,半夏去湿痰,南星去风痰,枳实去实痰,蒌仁治燥痰,贝母、麦门冬治虚痰,黄连、天花粉治热痰,各有别也。”
❸ 李中梓《本草通玄》:“前胡,肺肝药也。散风驱热,消痰下气,开胃化食,止呕定喘,除嗽安胎,止小儿夜啼。柴胡、前胡,均为风药,但柴胡主升,前胡主降为不同耳。种种功力,皆是搜风下气之效,肝胆经风痰为患者,舍此莫能疗。忌火。


❹ 大明《日华子本草》:“治一切劳,下一切气,止嗽,破症结……主反胃,呕逆。”

随便看

 

离鸟网收录3541549条中英文词条,其功能与新华字典、现代汉语词典、牛津高阶英汉词典等各类中英文词典类似,基本涵盖了全部常用中英文字词句的读音、释义及用法,是语言学习和写作的有利工具。

 

Copyright © 2004-2024 vtrois.com All Rights Reserved
更新时间:2026/5/27 18:54:46