网站首页  词典首页


请输入您要查询的字词:

 

字词 剪切强度的测定
类别 中英文字词句释义及详细解析
释义 剪切强度的测定

剪切强度主要表示粘接试样胶层受切线应力时单位面积上的最大破坏负荷。对塑料自身粘接及它们与金属等粘接剪切强度,按HGZ-151-65标准进行。HGZ-151-65中塑料做单面拉伸剪切强度,其试样如图4-10所示,塑料做双面压缩剪切试验,试样如图4-11所示。

对单面拉伸剪切试样,厚度d为2±0.1~3±0.1mm时,L=15mm;d>3±0.1~5±0.1mm时,L=20mm。

对双面压缩剪切试样厚度不小于10mm,L=20mm。

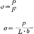
单面拉伸试样的剪切强度σs(MPa)按下式计算:

剪切强度计算公式:

式中 δ——拉伸剪切强度(MPa)

P——破坏负荷(N)

F——试样粘接面积(cm2)

F=a.b

a——实际搭接长度(cm,精度至0.1cm)

b——实际胶缝宽度(cm,精度至0.1cm)

试验温度为20±2℃,测试速度为100±10mm/min。

随便看

 

离鸟网收录3541549条中英文词条,其功能与新华字典、现代汉语词典、牛津高阶英汉词典等各类中英文词典类似,基本涵盖了全部常用中英文字词句的读音、释义及用法,是语言学习和写作的有利工具。

 

Copyright © 2004-2024 vtrois.com All Rights Reserved
更新时间:2026/4/7 7:39:33