网站首页  词典首页


请输入您要查询的字词:

 

字词 剪夏罗
类别 中英文字词句释义及详细解析
释义 剪夏罗

【名称出处】:《浙江天目山药用植物志》

【概况】:

异名 剪红罗(《证治要诀》),剪春罗(《纲目》),剪金花、雄黄花(《植物名实图考》),阔叶鲤鱼胆、山药田(浙江)。

基源 为石竹科剪秋罗属植物剪夏罗的全草。

原植物 剪夏罗Lychnis coronata Thunb.

历史 《纲目》载:“剪春罗,二月生苗,高尺余,柔茎绿叶,叶对生抱茎,入夏开花,深红色,花大如钱,凡六出,周围如剪成可爱,结实大如豆,内有细子。”所指即为本种。

形态 多年生草本,高50~80cm。

根茎竹节状。茎丛生、直立。叶卵状椭圆形,长6~10cm,宽2~4cm,边缘具细锯齿。聚伞花序顶生,有花1~5朵;花直径3~4cm;花萼长筒形,顶端5裂,裂片尖卵形,具10脉;花瓣5,橙红色,顶端有不整齐浅裂。雄蕊10;花柱5。蒴果顶端5齿裂;种子多数。

花期5~6月,果期7~8月(图见《中国高等植物图鉴》.第1册.637页.图1273)

生境与分布 生于山坡疏林内或山谷林缘草丛中。原产中国,现广泛栽培于世界各地。

分布于江苏、浙江、江西。。【生药】:

采集 夏、秋季采收全草,洗净,晒干。

【化学】:

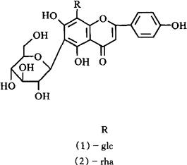
附 同属植物毛剪秋罗(L.coronaria(L.)Desr.)地上部分含皂甙,黄酮和游离糖[1],叶含松醇(Pinitol)、异金雀花甙(Isoscoparin)、阿魏酰葡萄糖(Feruloyl glucose)[2]及两个C-葡萄糖黄酮:6,8-双-β-D-葡萄吡喃糖-5,7-二羟基-4-羟基黄酮(即巢菜素2,Vicenin2)(1)和6-[O-(6-去氧-α-L-甘露糖)-β-D-葡萄吡喃糖-5,7-二羟基-4′-羟基黄酮(2)[3]

参考文献 [1] CA 1988;108∶62429d [2] CA 1982;97∶159518z [3] CA 1982;97∶56140r

【药性】:

性味 甘,寒。

功效 清热解毒,止痛,止泻。

主治 ❶ 《证治要诀》:“火带疮缠腰生者,或花或叶,细末,蜜调敷。”
❷ 《全国中草药汇编》:“感冒,关节炎,腹泻,带状疱疹。”
❸ 《浙江天目山药用植物志》:“治因淋雨或落水感寒,及饮冷水等引起的身热无汗,口渴。”

用法用量 内服:根:10~15g;全草:15~30g。外用:鲜花或叶,适量捣烂外敷或根研细末,植物油调敷患处。

。【临床应用】:

单方应用 ❶ 《全国中草药汇编》:“治感冒,关节炎,腹泻:剪夏罗全草15~30g。水煎服。”
❷ 《全国中草药汇编》:“治带状疱疹:鲜剪夏罗捣烂外敷。”

随便看

 

离鸟网收录3541549条中英文词条,其功能与新华字典、现代汉语词典、牛津高阶英汉词典等各类中英文词典类似,基本涵盖了全部常用中英文字词句的读音、释义及用法,是语言学习和写作的有利工具。

 

Copyright © 2004-2024 vtrois.com All Rights Reserved
更新时间:2026/5/25 20:21:23