网站首页  词典首页


请输入您要查询的字词:

 

字词 青蒿素
类别 中英文字词句释义及详细解析
释义

青蒿素

自黄花蒿全株中提出的一种抗疟有效成分。控制疟疾症状:口服,成人首剂1 g,6~8 h后再服0.5 g,第2、3日各服0.5 g,总量2.5 g。深部肌内注射,首剂200 mg,6~8 h后再注100 mg,第2、3日各注100 mg,共500 mg。儿童用量总量15 mg/kg,于3 d内注完。治疗红斑狼疮:每次口服100 mg,第1个月,每日2次;第2个月,每日3次;第3个月,每日4次。片剂:每片50 mg或100 mg。油注射剂:每支50 mg/2 mL、100 mg/2 mL或200 mg/2 mL。

青蒿素arteannuin; artemiginin

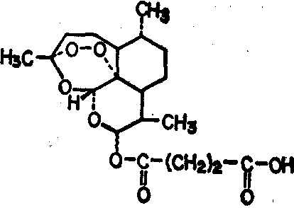
系从黄花蒿中提出的一种新的抗疟成分。本品为白色针状结晶,味苦,几乎不溶于水,易溶于乙醇。为高效、速效抗疟药,用于红内期,对间日疟、恶性疟、脑型疟有良效,但对间日疟复燃率比氯喹高,与伯喹合用可降低复燃率;对血吸虫也有杀灭作用。本品可供口服与深部肌肉注射。肌注较浅可引起疼痛与硬块;少数可引起皮疹与转氨酶升高,也可出现消化道症状,多可自行恢复。

青蒿素

青蒿素


青蒿素(qinhaosu,artemesinine)系菊科植物。黄花蒿(又名青蒿或苦蒿)中的抗疟成分。青蒿抗疟,《神农本草经》中亦有收载。晋葛洪《肘后备急方》中有青蒿治疟病方及宋、元明、清各家医籍本草均有其治疟复方。李时珍亦称青蒿治疗疟疾寒热,民间亦有流传使用,我国南北诸省,均有大量野生。
1970年,我国学者从民间验方中发掘出黄花蒿,并在1972年分离出有效成分——青蒿素。经过化学结构测定,阐明它是一个含过氧桥的倍半萜内酯。
青蒿素适用于治疗间日疟、恶性疟,治愈率达100%,与氯喹的疗效相似,控制症状快而副作用小。对抗氯喹疟原虫株恶性疟的效果也显著,但对间日疟原虫的近期复发率比氯喹高20~30%,与伯喹合并应用,可使近期复发率降至10%左右。且对凶险型疟疾如脑型疟等的抢救有良好效果。青蒿素在体内的吸收、代谢和排泄均较快,代谢物无抗疟活性。
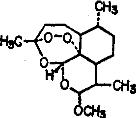
蒿甲醚(artemether) 代号为Sm224,是12-β-甲基二氢青蒿素,为无色片状结晶,熔点86~88℃,药理及临床用的蒿甲醚是α、β二型的混合物,但以β型为主。本品的溶解度比青蒿素大,可制成澄明的油针剂,供药用。经鼠疟试验表明,蒿甲醚的抗疟活性比青蒿素大10~20倍,为一高效、速效的红内期疟原虫杀灭剂,但对恶性疟的配子体无杀灭作用。在临床上,蒿甲醚对恶性疟、包括抗氯喹株的恶性疟及凶险型恶性疟的治疗效果均良好。它的复燃率为8%,较青蒿素的为低。与伯喹合用可进一步降低复燃率。不良反应也较小。


青蒿酯(artesunate) 为二氢青蒿素-12-β-琥珀酸单酯(代号804),熔点为137℃,比旋度+10.5~12.5。青蒿酯钠(804-Na)能溶于水,制成水针剂供注射用。临床上用青蒿酯钠肌注(总剂量400mg)治疗恶性疟、间日疟获得痊愈,对抗氯喹的患者也有效。用青蒿酯片剂(总剂量800mg)口服治疗,取得同样结果。两种剂型的用量分别为青蒿素的1/3和1/6。青蒿酯和青蒿酯钠抗疟的特点是,速效低毒(无明显毒不良反应),剂量小,使用安全。其缺点是,有较高的复燃率。

☚ 奎宁   伯喹 ☛
00005526
随便看

 

离鸟网收录3541549条中英文词条,其功能与新华字典、现代汉语词典、牛津高阶英汉词典等各类中英文词典类似,基本涵盖了全部常用中英文字词句的读音、释义及用法,是语言学习和写作的有利工具。

 

Copyright © 2004-2024 vtrois.com All Rights Reserved
更新时间:2026/4/8 0:32:08