网站首页  词典首页


请输入您要查询的字词:

 

字词 力学中的分形
类别 中英文字词句释义及详细解析
释义 力学中的分形

分形几何学是研究被数学家称为“病态”的不规则的集合,这些不规则集合一般地说是不光滑的,定量地描述这种不规则性是分维。

在经典几何中,点是零维的,曲线是一维的,平面是二维的。这种维数只取整数值,是拓扑学意义下的维数,记为DT

它反映的是为了确定一个点在空间的的位置所需独立坐标的数目或独立方向的数目。1919年Hausdorff提出维数可以是分数即分数维,并定义了分数维的Hausdorff测度。

Mandelbrot为模拟分形推广了Hausdorff维数定义,提出分形是一个集合,它的Hausdorff维数据严格大于它的拓扑维数DT。这样,一个分形应当满足两个条件:第一是其测度应是Huasdorff测度;第二就是其Hausdorff维数严格大于它的拓扑维数。

在分形应用上人们基本上仍局限于自相似分形,但已经不在满足于去追求单纯一个分维值。人们开始过多地去研究分形的物理机理,去研究自相似性存在的范围和程度。

在分形理论上人们已从单一维的分形描述过渡到多标度分形分析。所谓多标度分形是定义在分形上的多个标度指数的奇异测度组成的无限集合。在一个分形物体上,不同物理量的不连续分布决定了相应于给定奇异测度分布的无限分形集,因而不同的分布决定了在分形物体上的不同多标度分形谱,它是物体微观特性的一个反映。

最近在分形研究中出现的另一热门的分支即分形的小波变换。

它是经典的傅里叶变换的扩充和推广,是信号分析中一个强有力的数学工具。在频谱分析中它可以将任一个一维信号分解成时间和频率的独立贡献,同吮又不失去原有信号所包含的信息。这种分解的方法是选定适当小波后,通过伸缩和平移来进行的,它相当于一个数学显微镜,具有放大、缩小和平移的功能。进行小波变换,构造数学显微镜的关键在于选择合适的小波。

小波变换目前已广泛用来研究分形扩展现象,特别是小波变换的数学显微镜功能不仅能用来研究分形的局域特性,更重要的是可用来追朔一个分形体的构造规则。

根据塑性微观理论,在屈服应力下塑性变形的产生主要是由于材料内部位错的形成,位错运动所形成的垛及内部缠结,晶格之间的错位,进而形成滑移场。

当让.SS表示滑移线结构的占位,h代表其高度时,材料的宏观塑性剪切变形rpl可以对单位体积内所有滑移线的微观剪切变形(h/Ss)进行求和来获得:

tgγpl=∑(h/Ss)(1)

由于在微观照片上,很容易量出Ss和h,因此人们对滑移场的分形模拟并没给过多的注意。事实上,Cantor集能较好地模拟局部剪切现象。

作为传统Cantor集,是对给定的单位直线段进行分,去掉中间一段,保留端点。将剩下的两段再三等分,去掉中间段保留端点。

如此操作继续下去即得到Cantor尘集,其分维D=log2/log3=0.6309。在局部塑性剪切情况,滑移步和剪切量均是随机的。

我们可以构造一些随机的Cantor集来模拟这种局部剪切现象。

值得说明的是,滑移场完整的分形描述是相当困难的。众所周知,滑移分布不仅取决于应变的方位和应变量,而且取决于材料微结构的特征,这个领域的分形研究还很薄弱,有待我们去开发和进一步的探究。

应用分形理论研究材料的损伤断裂已取得一系列成果。

首先材料断裂后,其断裂表面凹不平,是一个近似的分形表面。H.Xie(1989)进行岩石火断口的分形分析,得到W分维D与损伤断裂能Gj的关系为Gj=k1-k2D,这里K1和K2为材料常数。

这表明:材料断裂表面的不规则性反映了在断裂时损伤断裂的能量耗散及其微结构效应;而这种不规则性又可由分形得到很好的模拟。这样我们可根据材料断口的分形特征,追溯到材料断裂时的宏观力学行为(Gj和K1等)。

尽管目前该领域研究还有某些争议,但它确实是从材料破坏后的断口定量分析,去推测它的断裂性质和失效原因的一种新方法。

人们很早就发现材料断裂的微观形式主要表现为沿晶断裂、穿晶断裂及其耦合形式。C.W(Lung,1986)提出了沿晶断裂的分形模型(D=1.26)。谢和平在岩石的实验观测基础上,相继建立了材料穿晶断裂分形模型和沿晶与穿晶耦合的分形模型,并由实验测定出相应的分维,表明了理论与实测是吻合的。

特别是使用这些分形模型可定性和定量地解释许多以前无法解释的现象。H.Xie(1988)通过分形分析首次给出了沿晶和耦合断裂最容易发生的定量描述。

H.Xie(1989)、C.W.Lung(1986)详尽地分析了裂纹扩展速率的分形效应。在同一晶粒尺寸的材料中,沿晶和耦合断裂具有最快的扩展速率。

所有这些,如果不考虑分形就不可能定量地反映出这些规律性,也不可能直接建立微观与宏观相结合的表达式。

引起裂纹分叉的物理实质似乎还没有一个理想的解释。

Smith应用复变函数理论研究了裂纹分叉的非规则性,表明分叉将使断裂韧性值增加,但其推导过程相当冗繁。Smith的断裂韧性计算式为

而用分形几何推导的计算式为

其中

H.Xie(1989,1992)还给出了裂纹分叉非规则几何效应和微结构对断裂韧性的影响,这是Smith经典分析无法得到的。

考虑一个热力学系统,这个系统有Ω种可能的状态,假定这N种状态出现的概率相等,则系统的热力学熵等于

S=klnΩ (2)

这里k为玻耳兹曼常数。另一方面,从概率信息理论的观点来看,这一系统具有的概率熵为

式中Pi为第i个状态出现的概率。

由假设,这个系统的Ω个状态出现的概率相等,即Pi=1/N,(i=1,2,…,Ω)。

这样上式成为

H=logΩ (4)

可见对同一物理系统,热力学熵与概率熵只差一个常数

S/H=klnΩ/logΩ (5)

以此为基础,我们就可以由具有概率测度分布的多标度分形来给出热力学描述。

考虑一个集合,假定在第n步,该集合被分成N(n)个球。在第n+1步,这些球又被分成N(n+1)个球。设在第n步划分中,划分的第i个球具有概率Pi,它满足标度关系

(6)

且第i个球的直径li具有标度指数εi,即

li=exp(-nεi) (7)

这是涉及到两个标度指数ε和α的分布。

当n变大时,li趋于零。这里εi具有热力学统计物理中单粒子“能量”的含义。

我们记标度指数位于(ε,ε+dε)和(α,α+dα)间的那些球的数目为Q(ε,α)dεdα,我们期望对于大n存在广义熵函数Q(ε,α)使得

Ω(ε,α)=exp[nQ(ε,α)] (8)

如定义配分函数

相应的自由能定义为

由方程(22)和(23),Г(q,β)可写成积分形式

由最陡下降法,结合(24)式,可得

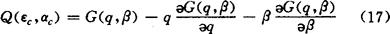
G(q,β)=Q(εc,αc)-(αcq+β)εc (12)

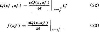
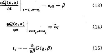
式中εc和αc给出了Q(ε,α)-(αq+β)ε的极大值。由此可得

于是

这样只要知道广义自由能就可求出ε,α和熵Q(ε,α)取自由能的零点,令

G(q,β=βc(q))=0 (18)

τ(q)=(q-1)Dq (20)

由多重分形特性,可求出

βc(q)=-τ(q)=(1-q)Dq=f(α)-αq (21)

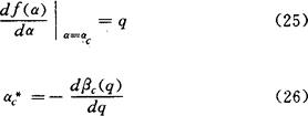
通过求解(32)式,可获得βc(q)进而求得广义分维Dq.在β=βc这一临界点,由(26),(27)和(32)式可推得

将(37)式代入(27)和(28)式,即得

(24)

这样一旦通过解方程(32)式获得βc(q),就可以由(40)式求得αc和f(αc)。

易证f(α)函数就是该多标度分形的奇异性谱函数。

当退化到特殊热力学熵,即q=0,β=(q=0),这时热力学自由能

F(β)=S(εc)-βεc (27)

可以证明这时βc=D0,即为Hausdorff维数。

综上所述,可以看到广义自由能G(q,β)起著热力学中特性函数的作用。这种热力学形式的多标度分形理论给出了更全面和更丰富的描述。

总之,分形在力学中的应用研究才刚刚起步,在许多领域有待我们去开发、创新。我们坚信,只要我们将分形引入到现有的力学框架中去,必将使我们对材料的非线性力学行为产生新的认识,必将推动材料细观力学和微观力学理论应用的发展。

。【参考文献】:

1 Mandelbrot B B. The Fractal Geometry of Nature. Free man. San Francisco, 1983

2 Paladin G,Vulpiani A. Phys. Rep. 1987,156:147~158

3 Argoul F,et al. Phys. Rev. A, 1990,41(10) ,5537~5560

4 Hornbogen E. Int. Maiericals Rev. 1989,34(6) ,277~296

5 Xie H. Chinese Science Bulletin. 1989,34(15) :1292~1296

6 Xie H. Aca Mechanica Sinica. 1988,4(3) :255~264

7 XieH. Int. J. of Fracture, 1989,41 (4) ,267~274

8 Smith E. Arch Mechanics, 1986,38(1 ~2) :185~190

9 谢和平,高峰.岩石力学与工程学报.1991,101∶60~70

10 Kohmotto M.Phys.Rev.A37,1988,1345~1352

11 谢和平.岩土介质的分形孔隙和分形粒子.力学进展,1993

(中国矿业大学谢和平教授撰)

随便看

 

离鸟网收录3541549条中英文词条,其功能与新华字典、现代汉语词典、牛津高阶英汉词典等各类中英文词典类似,基本涵盖了全部常用中英文字词句的读音、释义及用法,是语言学习和写作的有利工具。

 

Copyright © 2004-2024 vtrois.com All Rights Reserved
更新时间:2026/5/25 22:00:18