网站首页  词典首页


请输入您要查询的字词:

 

字词 力学相似及相似准则
类别 中英文字词句释义及详细解析
释义 力学相似及相似准则

(1)力学相似

力学相似是指实物流动与模型流动在对应点上相应的物理参数都应该有相同的比例关系,力学相似应包含下列三个相似:

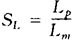
A.几何相似

要求实物流动与模型流动有相似的边界形状,且一切对应的线性尺寸或比例,其基本比例尺为SL,即

式中 Lp——实物流动中的线性长度;

Lm——模型流动中的相应的线性长度。

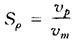
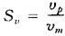
B.运动相似

就是实物流动与模型流动的流线应为几何相似,且对应点上的速度又成比例,其基本比例尺为速度比例尺,即

C.动力相似

即实物流动与模型流动应受同种力的作用,且对应点上的密度成比例,密度比例尺是其基本比例尺,即

当实物流动与模型流动为力学相似,则要求它们的弗罗德数、雷诺数、欧拉数等几个相似准则应各自相等。但在实际的模型设计时很难做到这一点,因为它们之间互有矛盾。因此实际的模型设计时,抓住影响流动现象的主要相似准则,而放弃次要的相似准则,这种近似的做法称为近似力学相似。

(2)相似准则

当模型流动与实物流动满足近似力学相似时,例如液压管流中则只要求它们相应的雷诺数相等即可。因此判断近似力学相似的标准就是校核这些无量纲的相似准则是否相等。一般常用的相似准则见表1.1-5。

表1.1-5 常用的相似准则

随便看

 

离鸟网收录3541549条中英文词条,其功能与新华字典、现代汉语词典、牛津高阶英汉词典等各类中英文词典类似,基本涵盖了全部常用中英文字词句的读音、释义及用法,是语言学习和写作的有利工具。

 

Copyright © 2004-2024 vtrois.com All Rights Reserved
更新时间:2026/4/7 16:30:24