网站首页  词典首页


请输入您要查询的字词:

 

字词 力维霉素[中]
类别 中英文字词句释义及详细解析
释义 力维霉素[中]

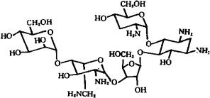
C29H55N5O18=761.78

CAS-36441-41-5

O-2-氨基-2,3-二脱氧-α-D-核糖-己吡喃糖基-(1→4)-O-[O-α-D-甘露吡喃糖基-(1→4)-O-2,6-二氨基-2,6-二脱氧-β-L-艾杜吡喃糖基-(1→3)-β-D-核呋喃糖基-(1→5)]-2-脱氧-D-链霉胺。

O-2-Amino-2,3-dideoxy-α-D-ribo-hexopyranosyl-(1→4)-O-[O-α-D-mannopyranosyl-(1→4)-O-2,6-diamino-2,6-dideoxy-β-L-idopyrnosyl-(1→3)-β-D-ribofuranosyl-(1→5)]-2-deoxy-D-streptamine.

抗生素类药。

利维霉素,青紫霉素。

Lividomycin.

INN,DCF,USAN.

随便看

 

离鸟网收录3541549条中英文词条,其功能与新华字典、现代汉语词典、牛津高阶英汉词典等各类中英文词典类似,基本涵盖了全部常用中英文字词句的读音、释义及用法,是语言学习和写作的有利工具。

 

Copyright © 2004-2024 vtrois.com All Rights Reserved
更新时间:2026/4/7 8:49:12