网站首页  词典首页


请输入您要查询的字词:

 

字词 非摸索过程
类别 中英文字词句释义及详细解析
释义

非摸索过程Nontatonnement Processes

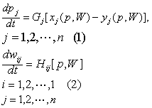
商品和价格随时都处于调整交换的过程。当均衡价格达到时,经济活动者们才进行商品交换,在均衡价格未达成前的价格调整过程中,因为没有发生商品交换, 故每个人持有的财货量一直不变。显然,这种过程过于理想化。比较接近现实的情况是,每宣布一次价格,人们就进行一次商品交换,描述商品价格和个人持有财货量随时进行调整的过程, 就是非摸索过程。如以p(t)表示t时刻的价格向量,wij(t)表示t时刻第i人拥有第j种商品的数量,用w (t)=\\表示以wij为元素的矩阵,则非摸索过程可用下述微分方程组表示:其中,方程(1)表示价格随供求规律调整,Gj是保号函数, xj和yj分别为商品j的总需求和总供给;方程(2)描述第i人持有第j种商品的调整 (交换)规则。如:设仅当消费者能增加其效用u时, 他才进行交换,从而对Hij的要求是使得>0,i=1,2,…,m。这类过程称为埃奇沃思过程。另一类非摸索过程对Hij的要求是使得:
(wij)=0,j=1,2,…,n,即市场上任何一种商品的总量不变,和
pj=0,i=1,2,…,m,即在价格p(t)上每一个人交换前后的商品价值不变。这类过程称为哈恩过程,上述两类过程都是稳定的。

非摸索过程

非摸索过程nontatonnement processes

商品和价格随时都在调整的交换过程。由摸索过程的定义知,仅当均衡价格达到时,经济活动者们才进行商品交换,在均衡价格未达成前的价格调整过程中,因为没有发生商品交换,故每个人持有的财货量一直不变。显然,这种过程过于理想化,比较接近现实的情况是,每宣布一次价格,人们就进行一次商品交换,描述商品价格和个人持有财货量随时进行调整的过程,就是非摸索过程。
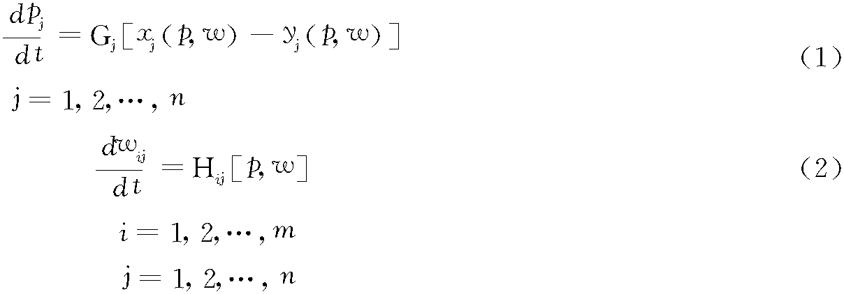
如以p(t)表示t时刻的价格向量,wij(t)表示t时刻第i人拥有第j种商品的数量,用w(t)=[wij(t)]表示以wij为元素的矩阵,则非摸索过程可用下述微分方程组表示:

其中方程(1)表示价格随供求律调整,Gj是保号函数,xj和yj分别为商品j的总需求和总供给;方程(2)描述第i人持有第j种商品的调整(交换)规则。
例如,设仅当消费者能增加他的效用u时,他才进行交换,从而对Hij的要求是使得>0,i=1,2,…,l。这类过程称为艾奇沃什(Edgeworth)过程。
另一类非摸索过程对Hij的要求是使得:即市场上任何一种商品的总量不变,和1,2,…,l,即在价格p(t)上每一个人交换前后的商品价值不变。这类过程称为哈恩(Hahn)过程。上述两类过程都是稳定的。
☚ 摸索过程   价格调整的动力系统模型 ☛
00000687
随便看

 

离鸟网收录3541549条中英文词条,其功能与新华字典、现代汉语词典、牛津高阶英汉词典等各类中英文词典类似,基本涵盖了全部常用中英文字词句的读音、释义及用法,是语言学习和写作的有利工具。

 

Copyright © 2004-2024 vtrois.com All Rights Reserved
更新时间:2026/4/7 15:25:14