网站首页  词典首页


请输入您要查询的字词:

 

字词 功率
类别 中英文字词句释义及详细解析
释义 功率

单位时间内所做的功.

1.功率的意义:表示做功的快慢.

符号的意义和单位:

P-功率-瓦特(W).

W-功-焦耳(J).

t-时间-秒(s).

常用单位:千瓦(kW).

1kW=103W.

注意 1.功率也可以说成是:功跟完成这些功所用时间的比值,由此看来,功率的大小与做功的多少无关.

2.功率是表示做功的快慢,并不表示做功的多少.可以说,功率越大,做功越快.,

3.由P=W/t=Fi,可知当机械的功率一定时,力大则运动速度慢.

4.功率是机器的重要指标之一.功率大的机械做功较快但价格也高,在选购机器应根据实际需要选择功率适当的机械,过小则不能满足需要,过大则造成浪费.

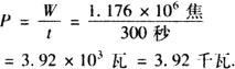
例1 一台起重机在5分钟内把一件质量为4吨的重物从地面匀速吊起到30米高处,求起重机对重物做功的功率.

分析与解答 本题需先求出重物的重力,再求出提升过程中所做的功,最后求出功率,分步解题步骤如下:

❶ 重物的重力G=mg

=4000千克×9.8牛/千克=3.92×104

❷ 由于重物做匀速运动,因此起重机对重物向上的拉力:

F=G=3.92×104牛.

❸ 起重机对重物做功:

W=Fs=3.92×104牛×30米

=1.176×106焦.

❶ 起重机对重物做功的功率:

也可最后代入数据计算

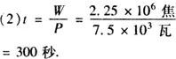
例2 一台机器的功率为7.5千瓦.

(1)它正常工作1小时,完成多少功?

(2)它正常工作多长时间,能完成225×106焦的功?

分析与解答 公式变形是我们应熟练掌握的技能,由公式:

(1)W=Pt=7.5×103瓦×3600秒

=2.7×107焦.

随便看

 

离鸟网收录3541549条中英文词条,其功能与新华字典、现代汉语词典、牛津高阶英汉词典等各类中英文词典类似,基本涵盖了全部常用中英文字词句的读音、释义及用法,是语言学习和写作的有利工具。

 

Copyright © 2004-2024 vtrois.com All Rights Reserved
更新时间:2026/5/25 17:39:58