韦达定理weida dingli
指一元n次方程的根与系数的关系.它是由法国数学家韦达提出来的.
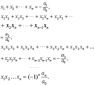
定理:若一元n次方程
a0xn+a1xn-1+…+an-1x+an=0
(a0≠0)
的根是x
1,x
2,…,x
n.则有

初中代数课本中所叙述的一元二次方程的根和系数的关系,就是上述定理当n=2时的特殊情况.
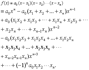
韦达定理的证明是以“一元n次方程在复数集里有且仅有n个根”这一重要定理为基础的,设一元n次方程
f(x)=a0xn+a1xn-1+…+an-1x+an=0(a0≠0)
的n个根为x
1,x
2,…,x
n.则多项式

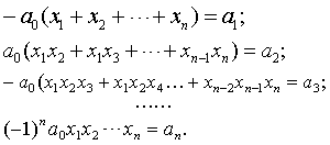
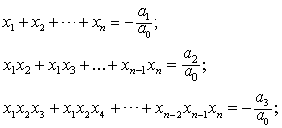
根据多项式恒等的条件,可得



韦达定理的逆定理成立.