网站首页  词典首页


请输入您要查询的字词:

 

字词 预付年金
类别 中英文字词句释义及详细解析
释义

预付年金Annuity Due

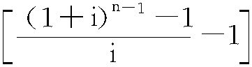
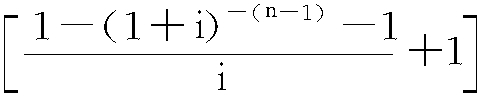
亦称“即付年金”,或称“先付年金”。在每期期初收付的等额现金流。预付年金终值的计算公式:S=A。预付年金现值的计算公式:P=A

预付年金

annuity in advance

随便看

 

离鸟网收录3541549条中英文词条,其功能与新华字典、现代汉语词典、牛津高阶英汉词典等各类中英文词典类似,基本涵盖了全部常用中英文字词句的读音、释义及用法,是语言学习和写作的有利工具。

 

Copyright © 2004-2024 vtrois.com All Rights Reserved
更新时间:2026/4/6 18:03:40