网站首页  词典首页


请输入您要查询的字词:

 

字词 加总问题
类别 中英文字词句释义及详细解析
释义 加总问题

由于总量数据是由个量数据加总而成,但加总过程并非简单汇总,而是在个量数据基础上经过加工处理才得到总量数据。

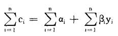
无论在哪一个汇总层次上作处理,其结果必定是使所得的宏观数据不再等于微观数据的简单总和。比如t期有n个家庭,每个家庭的消费函数是:

ciiiyi(i=1,2,3,…n)

其中ci、yi分别表示第i个家庭在t时期的消费支出与收入。αi为当收入为0时的消费支出,βi为边际消费倾向。若将n个家庭的消费函数进行简单的加总,则得:

对于n个家庭其总收入#,总消费支出 #时作的宏观模型为:

C=α+βY

此时#含义清楚,但βY何时与#相等?只有两种情况:

一种是,当β=β12=…=βn时,# #,但这非常理想化,因为所有家庭的边际消费倾向不太可能都相同。

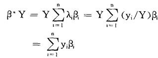
另一种是,β可解释为加权平均,即β*=#,此时:

但由于λi将随收入分布而变化,使β*不是常数,这与β意义不符,总之,加总后对真实的微观模型将产生偏离。Theil讨论了使期望偏离最小的加总,谓之最优加总。近年来,从个量过渡到总量所遇到的理论问题也是研究领域活跃的问题。

随便看

 

离鸟网收录3541549条中英文词条,其功能与新华字典、现代汉语词典、牛津高阶英汉词典等各类中英文词典类似,基本涵盖了全部常用中英文字词句的读音、释义及用法,是语言学习和写作的有利工具。

 

Copyright © 2004-2024 vtrois.com All Rights Reserved
更新时间:2026/4/8 2:09:54