加权平均数
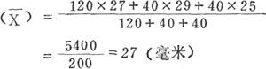
通过加权后算出的平均数。 例如计算某一批棉花的加权平均长度:该批棉花共200件,其中27毫米长度的为120件,29毫米长度的为40件,25毫米长度的为40件,则该批棉花的加权平均长度为:  其中 称为加权平均数,它是考虑到每种长度的棉花件数,上比例式中的棉花件数即为权,即有权衡轻重之意。 由此,加权平均数亦可通俗地称为加权后平均值,所谓权在上式中即为各种长度的件数。即若干个数值变量分别与其权量之乘积的总和再除以其权量总和所得的商。  式中( )为加权平均数,∑a为权量总和,∑xiai为x1a1+x2a2+x3a3+……+xnan。 |