加权算术平均数
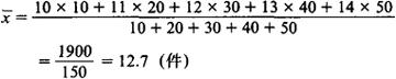
统计资料经分组整理,编成了单项数列或组距数列后,而各组标志值又不相同时,计算平均数就要采用加权算术平均数的方法。 将各组标志值乘以相应的各组单位数,求出各组标志总量,加总后得到总体标志总量,同时把权数(各组单位数)相加求出总体单位总数,再用总体单位总数去除总体标志总量即得。其计算公式为:  式中: xf代表各组单位标志值之和; ∑xf代表全部单位标志值之和; ∑f代表总体单位数。 例如,某车间有工人150名,把每人每日生产的某种零件数编成单项数列入下表:  根据上表资料,把各组每人日产零件数乘以各该组的工人数,得出各组工人日产零件合计数,加总后,用工人总数去除,得出每个工人日产零件平均数。  这表明,每个工人日产零件数,不仅受各组日产零件数多少的影响,而且受工人数在各组分布状况的影响。 人数多的组,对平均数影响大,反之,则小。因各组单位数(此例中就是各组工人数)对平均数有权衡轻重的作用,统计上通常把它叫做权数。 可见,权数对于算术平均数的影响作用,主要在于作为权的各组单位数占总体单位数的比重大小。当各组的单位数相等时,各组单位数所占的比重亦相等,此时权数的作用便消失了,加权算术平均数就等于简单算术平均数。 在组距数列条件下计算加权算术平均数,要先计算出各组的组中值(组中值是各组的中间数值,它等于上、下组限之和的一半),然后以各组的组中值为标志值,代入加权算术平均数公式即得。例如: 某月某企业工人工资统计   元采用组中值计算平均数的方法有一个假定的前提,即假定各组的内部分布是均匀的。 此外,在组距数列中如遇第一组只有上限没有下限,或末一组只有下限没有上限,这叫开口组,通常以邻近的组距(上限-下限)作自己的组距。  根据组距数列计算的加权平均数,只是平均数的近似值,组距越小,越接近实际的平均数。 |