加洛塞米
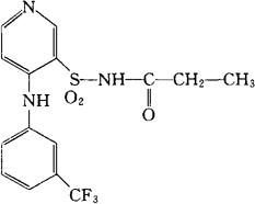
C15H14F3N3O3S=373.35 CAS-52157-91-2 N-[[4-(α,α,α-三氟-间-甲苯氨基)-3-吡啶基]磺酰基]丙酰胺。 N-[[4-(α,α,α-Trifluoro-m-toluidino)-3-pyridyl]sulfonyl]propionamide. N-[[4-[[3-(三氟甲基)苯基]氨基]-3-吡啶基]磺酰]丙酰胺。 N-[[4-[[3-(Trifluoromethyl)phenyl]amino]-3-pyridinyl]sulfonyl]propanamide. 利尿药,消炎药。 Galosemide,C 2124. INN,USAN.  |