网站首页  词典首页


请输入您要查询的字词:

 

字词 加热模具所需的电能
类别 中英文字词句释义及详细解析
释义 加热模具所需的电能

经验数据——20~40瓦/公斤模具。

计算

模具升温至工作温度所需的热量由下式可得:

QR=Q1+Q2+Q3+Q4

然而,保持模具在工作温度并使塑料固化所需的热量由下式可得:

Q0=Q1+Q2+Q3+Q5

式中:Q1=从模具通过石棉隔热材料至压板的热传导损失(卡/时或英国热单位/时)-(甲)

Q2=模具表面的热辐射损失(卡/时或英国热单位/时)-(乙)

Q3=模具表面的热对流损失(卡/时或英国热单位/时)-(丙)

Q4=将金属温度升至工作温度所需的热量(卡或英国热单位)-(丁)

Q5=加热塑料所需的热量(卡/时或英国热单位/时)-(戊)

式中:K=石棉隔热材料的导热系数(英制或公制单位);

A1=与隔热材料接触的模具顶面及底面的总面积(厘米2或呎2);

L=顶部及底部石棉隔热材料的总厚度(厘米或叹)

△T1=模具与压机之间的温度差(℃或℉)。

(乙)Q2=1.38×10-9(T2+460)4×A2

式中:1.38×10-9(T3+460)4是粗加工模具表面的修正的斯蒂芬(Stefan)常数。

T2=模具温度(℃或℉)

A2=暴露的模具表面积(厘米2或呎2)

当开始加热时,模具通常闭合,因而通常垂直表面上只有辐射损失。然而,在操作时,水平表面也有一定的时间暴露在外面,所以在测定压缩模塑所需热量时应有补充余量。

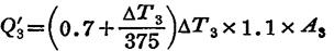
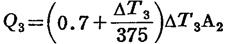
(丙)垂直表面上的对流热损失为

式中,△T3=模具与周围空气间的温度差(℃或℉)

当开始加热时,模具通常闭合,因而在正常情况下,只有上述垂直表面上的对流损失。然而,在操作中,在模具开启时,水平表面也暴露了,所以这些表面上的损失,在计算压缩模型所需热量时应计算在内。

向上的水平表面上的对流热损失为

向下的水平表面上的对流热损失为

式中:A3=向上的模具表面面积(厘米2或呎2)

A4=向下的模具表面面积(厘米2或呎2)

(丁)除所列热损失外,将模具从室温升高至工作温度所需的初始热量为:

Q4=m1×Cp1×△T4

式中:m1=模具重量(公斤或磅)

Cp1=模具钢材的比热容

△T4=从室温至工作温度的温升(℃或℉)

(戊)模塑材料固化所需的热量为

Q5=m2×Cp2×△T5

式中:m2=模塑材料的重量(公斤或磅)*

Cp2=模塑材料的比热容

△T5=从室温(或预热温度)至模塑温度的温升(℃或℉)

示例 K=石棉的导热系数=0.21(英国热单位/呎2/时/℉/呎)

A1=模具顶部和底部的表面积=2.0呎2

T2=模具温度=350℉

△T1=模具与压机之间的温差=200℉

L=石棉隔热材料的总厚度=0.1呎

A2=模具垂直表面的总暴露面积=3呎2

A2=向上的模具表面面积=1呎2

A4=向下的模具表面面积=1呎2

△T2=模具与周围空气之间的温差=290℉

m1=模具重量=300磅

Cp1=模具钢材的比热容=0.11英国热单位/磅℉

△T4=从室温至工作温度的温升=290℉

Cp2=模塑材料的比热容=0.4英国热单位/磅℉

△T5=从室温至模塑温度的温升=290℉

(一)模具升温至工作温度所需的热量

QR=Q1十Q2+Q3+Q4

式中:

Q2=1.38×10-9(350+460)4×3=1782英国热单位/时

Q4=300×0.11×290=9570英国热单位

所以,在4小时内使模具达到工作温度所需的热量为

因为在加热的较早阶段中热损失较低,所以,实际上将比计算时间提早达到工作温度。

(二)假设模具在模塑周期的一半中保持敞开状态,则模塑时模具所需的热量为:

Q0=Q1+Q2+Q3+Q5

式中:Q1=840英国热单位/时

Q5=9×0.4×290=1044英国热单位/时

所以,在模塑时保持模具热量所需的热量为

Q0=840+2376+1624+1044=5884英国热单位/时

电热

1千瓦小时=3412英国热单位

1英国热单位=0.29瓦小时

随便看

 

离鸟网收录3541549条中英文词条,其功能与新华字典、现代汉语词典、牛津高阶英汉词典等各类中英文词典类似,基本涵盖了全部常用中英文字词句的读音、释义及用法,是语言学习和写作的有利工具。

 

Copyright © 2004-2024 vtrois.com All Rights Reserved
更新时间:2026/4/7 11:28:11