网站首页  词典首页


请输入您要查询的字词:

 

字词 加莫司丁
类别 中英文字词句释义及详细解析
释义 加莫司丁

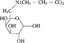
C10H19Cl2NO5=304.17

CAS-105618-02-8

6-[双(2-氯乙基)氨基]-6-去氧-D-吡喃半乳糖。

6-[bis(2-Chloroethyl)amino]-6-deoxy-D-galactopyranose.

抗肿瘤药。

Galamustine.

INN,USAN.

随便看

 

离鸟网收录3541549条中英文词条,其功能与新华字典、现代汉语词典、牛津高阶英汉词典等各类中英文词典类似,基本涵盖了全部常用中英文字词句的读音、释义及用法,是语言学习和写作的有利工具。

 

Copyright © 2004-2024 vtrois.com All Rights Reserved
更新时间:2026/4/7 7:51:07