风险中性Risk Neuteral
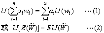
消费者对风险的一种态度,具有这种态度的消费者称为风险中立者 (Risk Neutral)。一般地,一个人在随机事件中如果他的期望值的效用等于他的期望效用或效用期望值时,即:


此人即为风险中立者 (见“预期效用函数”辞条)。风险中立者的效用函数满足条件(1),说明它是一线性函数,既是凹的,又是凸的,但不是严格凹的或严格凸的。
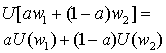
考虑一个以

形式描述的抽彩问题。假设消费者有两种选择:选择Ⅰ:以概率a得到w
1,以概率(1-a)得到w
2。选择Ⅱ:以无风险的确定形式得到

作为一个风险中立者,消费者选择Ⅰ或Ⅱ是无差别的,即:


代表w
1和w
2的加权平均值。风险中立者的效用函数U=U(w)满足d
2U/dw
2=0,说明消费者只考虑随机变量的“大小”,而不考虑其风险。图中是a=1/2时的情形,说明两种选择是无差异的。
在一般经济分析中,大多数假定厂商是风险中立的 (如保险公司),因为厂商可多样化投资而降低风险,从而可以不考虑风险因素,而只关心利润或预期利润的 “大小”。最大化利润假设的依据也部分基于此。
〖参〗风险厌恶
风险爱好
预期效用函数