投资者面临预期收益率相等但风险不同的两个投资选择时,偏好于低风险投资的行为。风险厌恶是一个人在承受风险情况下偏好的特征,可以用来测量投资者为降低所面临的风险而进行支付的意愿。在降低风险的成本与收益的权衡过程中,厌恶风险的投资者在相同的成本下更倾向于作出低风险的选择。
风险厌恶Risk Aversion
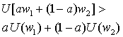
又译作风险回避。消费者对风险的一种态度,具有这种态度的消费者称为风险厌恶者(Risk Averter)。一般地,一个人在一个随机的事件中,如果他的期望值的效用大于他的期望效用或效用期望值,即:

时,此人即为风险厌恶者 (见 “预期效用函数”辞条)。风险厌恶者的效用函数满足条件(1)说明它是严格凹函数,即其加边海塞矩阵是严格负定的。

考虑一个以

形式描述的抽彩问题。抽彩时,以a概率得到w
1,以(1-a)概率得到w
2。消费者还有一个选择就是以确定的方式得到

作为一个风险厌恶者,消费者将选择没有风险的E(W),即:

或者:

图中是a=1/2时的情况,要想使两种选择无差异,只能降低确定的收益,即只能使确定收益等于

或者使期望效用

W代表w
1和w
2的平均值。
效用函数U=U(w)满足d
2U/dw
2<0,W-W
*可以衡量风险厌恶程度。
在一般的风险分析中,都假定消费者或投资者是风险厌恶的。
〖参〗风险爱好
风险中性