网站首页  词典首页


请输入您要查询的字词:

 

字词 动态追加投资偿还期
类别 中英文字词句释义及详细解析
释义 动态追加投资偿还期

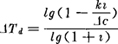
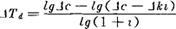
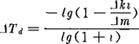
指在考虑资金时间因素时用年经营费节约额来补偿追加投资所需要的时间。

式中:ΔTd表示动态追加投资偿还期;Δk表示追加投资;Δc、Δm表示分别为由追加投资带来的年经营费节约额和年利润增加额,且Δc=Δm。

随便看

 

离鸟网收录3541549条中英文词条,其功能与新华字典、现代汉语词典、牛津高阶英汉词典等各类中英文词典类似,基本涵盖了全部常用中英文字词句的读音、释义及用法,是语言学习和写作的有利工具。

 

Copyright © 2004-2024 vtrois.com All Rights Reserved
更新时间:2026/4/6 17:47:06