网站首页  词典首页


请输入您要查询的字词:

 

字词 动能定理
类别 中英文字词句释义及详细解析
释义 动能定理

1.内容:合力所做的功等于物体动能的变化(增量)

2.表达式:W=Ek2—Ek1=△Ek

注意 ❶ 动能定理虽然是在物体受恒力作用,沿直线做匀加速直线运动的情况下推导出来的,但是对于外力是变力或物体做曲线运动,动能定理都成立,要对动能定理适用条件(不论外力是否为恒力,不也论物体是否做直线运动,动能定理都成立)有清楚的认识.

❷ 动能定理提供了一种计算变力做功的简便方法,功的计算公式W=Fscosα只能求恒力做的功,不能求变力的功,而由于动能定理提供了一个物体的动能变化△Ek与合外力对物体所做功具有等量代换关系,因此已知(或求出)物体的动能变化△Ek,就可以间接求得变力做功.

❸ 应用动能定理解题的优点

动能定理对应的是一个过程,它只涉及到物体初、末状态的动能和整个过程中合外力的功,无需注意其中运动状态变化的细节,且涉及的功和能均为标量无方向性,计算十分方便,因而当遇到不涉及加速度和时间而涉及力、位移、质量、速度、功和动能等物理量大小的力学问题时,优先考虑用动能定理,用动能定理求解一般比用牛顿第二定律和运动学公式求解来得简便,甚至还能解决牛顿定律和运动学公式难以解决的问题,动能定理解题优于动力学方法,是解决力学问题的重要方法.

3.应用动能定理解题的一般步骤

(1)确定研究对象,动能定理的研究对象是单个物体(质点),或者是可以看成单一物体的物体系.

(2)明确要研究哪一段运动过程,以明确物体的初动能和末动能.

(3)分析研究对象的受力情况和各力做功的情况(大小?正负?),动能定理式中的“W”,指合力对物体所做的功,可以先分析受力,求出各力的合力F,当F恒定时,可以由公式W=Fscosα求出合力的功;也可以先分别求出各力的功,再求出它们的代数和,即为合力的功.

注意 动能定理的表达式是标量式(可以有正负),而有关的位移或速度均是相对于同一参考系(一般是地面)的量.

(4)根据动能定理列方程求解.

例1 一个质量为m的小球拴在钢绳的一端,另一端用大小为F1的拉力作用,在水平面上做半径为R1的匀速圆周运动(如下图所示).今将力的大小改为F2,使小球仍在水平面上做匀速圆周运动,但半径变为R2,小球运动的半径由R1变为R2过程中拉力对小球做的功多大?

分析 此题中,绳的拉力作为小球圆周运动的向心力,是变力,求变力做的功应使用动能定理.

解 设半径为R1、R2时小球圆周运动的线速度大小分别是v1、v2,由向心力公式得

由动能定理有
❸ 

由❶ ❷ ❸ 式得W=1/2(F2R2—F1R1).

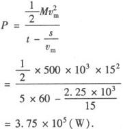
例2 质量为M=500t的机车,以恒定功率从静止起动,经时间t=5min,在水平轨道上行驶了s=2.25km,速度达到最大,vm=15m/s,试求:

(1)机车的功率P;

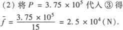
(2)机车运动过程中所受的平均阻力.

分析 机车以恒定功率起动,由于速度越来越大,由P=Fv可知,牵引力不断减小,机车运动过程中,牵引力和阻力对机车所做的总功等于机车动能的增加.此时,牵引力的功可由求解:W=Pt.

解 (1)运动能定理:

其中,为机车所受平均阻力,当机车速度达到vm

将❸ 代入❶ 解得:

即机车功率为3.75×105W.

随便看

 

离鸟网收录3541549条中英文词条,其功能与新华字典、现代汉语词典、牛津高阶英汉词典等各类中英文词典类似,基本涵盖了全部常用中英文字词句的读音、释义及用法,是语言学习和写作的有利工具。

 

Copyright © 2004-2024 vtrois.com All Rights Reserved
更新时间:2026/5/27 21:09:27