网站首页  词典首页


请输入您要查询的字词:

 

字词 动量定理与牛顿第二定律的区别与联系
类别 中英文字词句释义及详细解析
释义 动量定理与牛顿第二定律的区别与联系

1.从牛顿第二定律出发可以导出动量定理,因此牛顿第二定律和动量定理都是发生了外力作用与物体运动状态变化的因果关系.

2.牛顿第二定律反映力与加速度之间的瞬时对应关系,而动量定理反映了力作用一段时间的过程中,合外力的冲量与物体初、末动量变化间的关系.

动量定理与牛顿第二定律相比较,有其独特的优点,因在公式Ft=mv′—mv中,只涉及两个状态量mv、mv′及一个过程量Ft.至于与这两个状态中间是怎样的过程,轨迹是怎样的,加速度怎样,位移怎样全不考虑,在力F作用的过程中不管物体是做直线运动还是做曲线运动,动量定理都是适用的.

动量定理除用来解决在恒力持续作用下的问题外,尤其适合用来解决作用时间短、而力的变化又十分复杂的问题,如冲击、碰撞、反冲运动等.应用时只需知道运动物体始末状态无需深究其中间过程的细节,只要动量的变化具有确定的值,就可以用动量定理求冲力或平均冲力,而这是用牛顿第二定律很难解决的,因此,从某种意义上说,应用动量定理解题比牛顿第二定律更为直接,更加简单.

3.牛顿第二定律只适用于宏观物体的低速运动情况,对高速运动的物体及微观粒子不再适用,而动量定理却是普遍使用的.

4.牛顿第二定律和动量定理都适用于地面参考系.

例1 质量为1.0kg的小球从高20m处自由下落到软垫上,反弹后上升最大高度为5.0m.小球与软垫接触的时间是1.0s,在接触的时间内小球受到的合力的冲量大小为(空气阻力不计)( ).

A.10N·s B.20N·s

C.30N·s D.40N·s

分析 本题应用动量定理求解变力的冲量.若某一过程中,物体的动量变化△p不能直接由△p=p′—p求出时,可以求出其合外力的冲量,根据动量定理,物体的动量的变化等于合外力的冲量.同样,若某一过程中合外力的冲量不能直接由I=Ft求出时,可求出其动量变化量.本题中小球与软垫作用的过程中,软垫对小球的弹力是变力,无法直接由Ft求出合力的冲量,只能应用动量定理求得.

解 设向上的方向为正方向,由动量定理得

IA=mv2—(—mv1)=m(v2+v1).

又小球刚与软垫接触和脱离时的速度v1、v2分别是

I=m(v2+v1)=30N·s.

答 C.

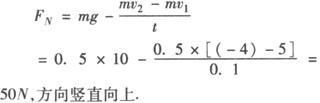
例2 质量为0.5kg弹性小球,从1.25m高处自由下落,与地板碰撞后回弹的高度为0.8m,设碰撞时间0.1s,取g=10m/s2,求小球对地板的平均冲力.

分析 分析物体在碰撞前后的动量,应用动量定理求出地板的平均冲力.

解法1 分段处理,取小球为研究对象,根据物体作自由落体和竖直上抛运动,可知:

碰撞前的速度:v1,方向向下.

碰撞后的速度:,方向向上.

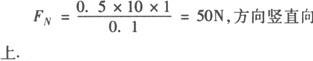
碰撞时小球受力情况如上图所示,取竖直向上为正方向,根据动量定理:(FN—mg)t=mv2—mv1

由牛顿第三定律可知,小球对地板的平均冲力大小为50N,方向竖直向上.若取竖直向下为正方向,根据动量定理:

(mg—FN)t=mv2=mv1

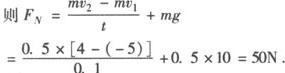
解法2 全程处理,以开始下落瞬间为初状态,反弹到最大高度时为末状态,重力作用时间 0.4=1s.平均冲力作用时间t=0.1s.取向下为正方向,根据动量定理:mgt—FN·t=0.

随便看

 

离鸟网收录3541549条中英文词条,其功能与新华字典、现代汉语词典、牛津高阶英汉词典等各类中英文词典类似,基本涵盖了全部常用中英文字词句的读音、释义及用法,是语言学习和写作的有利工具。

 

Copyright © 2004-2024 vtrois.com All Rights Reserved
更新时间:2026/4/6 15:58:32