网站首页  词典首页


请输入您要查询的字词:

 

字词 动量方程
类别 中英文字词句释义及详细解析
释义 动量方程

动量方程是动量定律在流体流动中一种数学表达式,用动量方程求解问题时,不用顾及流体流动的详细过程,用它来求解流场中固体壁面受力等问题尤为方便。当流场类型为不可压缩流体定常管流时,对于控制体固定不动的动量方程,其表达式如下:

·矢量式

Fm+FA=∫AρuudA=ρq(β2v2-β1v1)

·直角坐标系标量式

Fmx+FAc=ρq(β2v2x-β1v1x)

Fmy+FAy=ρq(β2v2v-β1v1y)

Fmz+FAz=ρq(β2v2z-β1v1z)

式中 Fm——质量力;

FA——表面力;

q——通过管流的流量;

β1,β2——相应动量修正系数,对于圆管层流,β12=4/3,对于圆管紊流,β12≈1,v为管流的平均流速。

下面举例说明动量方程在液压阀中的应用

(1)稳态液动力

现以图1.1-6所示的四通滑阀为例,当阀芯开度稳定不变时,并不计漏损,因此流出或流入滑阀的流量相等,流经两节流口的平均流速也相等,现取1、2两腔油液的外轮廓为控制体,列出这两个控制体沿滑阀轴向的动量方程,可求出阀芯作用于两控制体内油液上的作用力Rr,设β12=1时,得

Rr=R1r+R2r

=2ρqvcosβ

而油液因动量变化作用在阀芯上的轴向力Fs与Rr大小相等方向相反。

Fs=-Rx=-2ρqvcosβ

Fx称为稳态液动力,不论1腔(液体自节流口流出),还是2腔(液体自节流口流入),它们所产生的液动力的方向始终使阀的开口趋于关闭,而与流动方向无关,故Fs又称为关闭力。当q,v愈大,射流倾斜角β愈小,则稳态液动力愈大。在阀的设计中是不希望产生这种力的,它不但影响阀的操纵力,而且是造成阀的不稳定的原因之一,为此已研究多种消除液动力的办法,如消除动量的回流型阀腔和小孔群节流法等。

(2)瞬态液动力

它是因为阀的开口发生变化时,阀腔内的油液被加速或减速,产生一作用在阀芯上的轴向液动力,它与阀腔内油液的速度变化率有关,与阀口开度本身无关,它是因流场的非定常性而引起的。

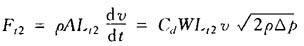
如图1.1-6所示的情况,假设阀芯在外力作用下向左移动时,两个阀口开度都关小,因此1腔内有效流程长度为Lt1的那部分油液将被减速,于是阀芯上将受到一个与油液速度变化率(即减速度)方向相反的轴向作用力Ft1。设通过阀口的流量为q,阀腔内油液平均流速为v,阀腔的截面积为A。因此1腔的瞬态液动力为

式中 W——节流口周边宽度;

△p——节流口前后压力差;

Cd——流量系数。

与此同时,2腔内有效流程长度为Lt2的那部分油液也将被减速,阀芯上又受到一个与油液加速度方向相同的轴向作用力Ft2,即

而阀芯上瞬态液动力的作用方向,随流动方向不同而异,具体分析见表1.1-4。

表1.1-4 瞬态液动力的方向与效应

随便看

 

离鸟网收录3541549条中英文词条,其功能与新华字典、现代汉语词典、牛津高阶英汉词典等各类中英文词典类似,基本涵盖了全部常用中英文字词句的读音、释义及用法,是语言学习和写作的有利工具。

 

Copyright © 2004-2024 vtrois.com All Rights Reserved
更新时间:2026/4/6 17:12:42