网站首页  词典首页


请输入您要查询的字词:

 

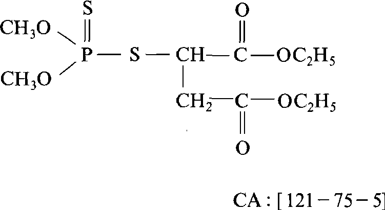
字词 马拉硫磷
类别 中英文字词句释义及详细解析
释义

马拉硫磷malathion

高效低毒广谱性二硫代磷酸酯类杀虫杀螨剂。商品名作马拉松、四○四九(EI-4049)。化学结构式:

1950年美国氰胺公司(Cyanamid Co.)首先开发。
性能 纯品常温下为浅黄色油状液体,挥发性小,熔点2.85℃。在碱性及强酸性介质中迅速分解,在中性或微酸性介质中较稳定。对光照稳定,对热稳定性稍差,铁、铅、锡、铜等重金属会促进分解。微溶于水,室温下溶解度145毫克/升,可与多数有机溶剂混溶,但在脂肪烃类溶剂中溶解度有限。对高等动物低毒,大白鼠急性口服LD502800毫克/千克; 兔急性经皮LD504100毫克/千克。对人体眼睛、皮肤有一定刺激性。对鱼类中等毒性,对蜜蜂高毒。对寄生蜂、瓢虫、捕食螨等害虫天敌也有较高毒性,但因残效期短,影响都大不。马拉硫磷对害虫、害螨具有触杀、胃毒和一定熏蒸作用。马拉硫磷在高等动物体内可通过酯键水解迅速解毒,而在害虫体内可通过氧化为马拉氧磷(malaoxon)提高毒力。
应用 气温低时马拉硫磷杀虫毒力下降,可适当提高施药量或用药浓度。马拉硫磷对多种叶面为害的咀嚼式口器和刺吸式口器害虫有良好效果,可采用乳油对水喷雾或粉剂喷粉用于水稻、棉花、大豆、蔬菜、果树、茶树、桑树、林木等作物防治鳞翅目、鞘翅目幼虫、蚜、螨、蚧,以及水稻叶蝉、飞虱、蓟马,果树蝽象,茶黑刺粉虱,油菜叶蜂等。一般作物田间施用的收获前禁用期为10天。飞机超低量喷雾,可防治蝗虫、松毛虫。对一般作物安全,但高粱、瓜类、豇豆、樱桃、梨、葡萄、某些品种的苹果、番茄幼苗较敏感,不得施用高浓度药液。马拉硫磷还可用来防治蚊、蝇、人体头虱和体虱等卫生害虫,动物体外寄生虫。因马拉硫磷化学性质不太稳定,其制剂最好当年生产、当年使用。
马拉硫磷原药经脱臭精制,得到97%纯度的原油,配成70%乳油,称作防虫磷。防虫磷中除去了一般马拉硫磷原药中经常存在的对温血动物具有较高毒性的杂质,专用于粮食拌药防治原粮及种子粮中的鞘翅目幼虫及麦蛾等贮藏期害虫。

马拉硫磷malathion

又称Malaphos、4049、Em-matos。化学名称:O,O-二甲基-S-(1,2-二乙氧酰基乙基)二硫代磷酸酯。化学结构式如下。工业纯品(95%)琥珀色液体,熔点2.85℃,沸点156 ~157℃/93.3 Pa,蒸气压5.3 mPa/30℃,折射率1.4985,密度1.23,室温下水中溶解度145 mg/L,有机溶剂中易溶解。大鼠口服毒性LD50(♂)为1 634 mg/kg,(♀)为1 751 mg/kg,兔涂皮LD50为4 100 mg/kg。每天饲喂5 000mg/kg,2年未有影响,MLR8.0 mg/kg,防治各种蚜虫、螨、稻叶蝉、稻飞虱、蓟马、粉虱及鳞翅目初龄幼虫和初孵的多种介壳虫。

随便看

 

离鸟网收录3541549条中英文词条,其功能与新华字典、现代汉语词典、牛津高阶英汉词典等各类中英文词典类似,基本涵盖了全部常用中英文字词句的读音、释义及用法,是语言学习和写作的有利工具。

 

Copyright © 2004-2024 vtrois.com All Rights Reserved
更新时间:2026/4/7 21:06:09