网站首页  词典首页


请输入您要查询的字词:

 

字词 劳洛胍定
类别 中英文字词句释义及详细解析
释义 劳洛胍定

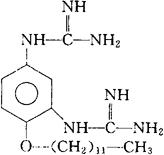
C20H36N6O=376.54

CAS-135-43-3

1,1′-[-4-(十二烷基氧)-间苯]二胍。

1,1′-[4-(Dodecyloxy)-m-phenylene]diguanidine.

抗滴虫药,防腐消毒药,消炎抗菌药。

月桂胍。

Lauroguadine.

INN,USAN,MI.

随便看

 

离鸟网收录3541549条中英文词条,其功能与新华字典、现代汉语词典、牛津高阶英汉词典等各类中英文词典类似,基本涵盖了全部常用中英文字词句的读音、释义及用法,是语言学习和写作的有利工具。

 

Copyright © 2004-2024 vtrois.com All Rights Reserved
更新时间:2026/5/26 21:45:19