网站首页  词典首页


请输入您要查询的字词:

 

字词 化合价的应用
类别 中英文字词句释义及详细解析
释义 化合价的应用

1.检验化学式的正误:根据在化合物里正负化合价的代数和为0的原则进行判断.

例1 下列化学式正确的是( ).

A.NaCl B.Na2O

C.ZnO2 D.AlO

答案 AB.

2.根据化学式判断元素的化合价:根据在化合物里正负化合价的代数和为0,并结合一些常见元素的化合价,由一些已知元素的化合价判断某元素的化合价.

例2 求KClO3中Cl元素的化合价.

解 设Cl元素的化合价为x,根据在化合物里正负化合价的代数和为0的原则,得:

(+1)+x+(-2)×3=0.

x=+5.

3.书写实际存在物质的化学式(十字交叉法).

(1)化合价的绝对值相等,右下角不写数字.

如氧化镁,因为镁为+2价,氧为-2价,所以它化学式为MgO.同理,氯化钠(NaCl)、氧化钙(CaO)等,由于这些物质中,正负化合价的绝对值相等,右下角都不写数字.

(2)化合价的绝对值不相等,又没有公约数,直接交叉.

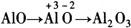
如氧化铝的化学式写法为:铝的化合价为+3价,氧的化合价为-2价,化合价的绝对值不相等,

即,把化合价的数值写到对方的右下角.

(3)化合价的绝对值不相等,但有公约数,先约简,后交叉.

如二氧化碳的化学式写法为:

即先约去公约数2,再交叉

一些常见元素和根的化合价

随便看

 

离鸟网收录3541549条中英文词条,其功能与新华字典、现代汉语词典、牛津高阶英汉词典等各类中英文词典类似,基本涵盖了全部常用中英文字词句的读音、释义及用法,是语言学习和写作的有利工具。

 

Copyright © 2004-2024 vtrois.com All Rights Reserved
更新时间:2026/4/9 2:01:29