网站首页  词典首页


请输入您要查询的字词:

 

字词 麦芽糖
类别 中英文字词句释义及详细解析
释义

麦芽糖mài yá táng

一种糖。1902年虞和钦、虞和寅译述《化学实用分析术》第三编《定量分析法》:“夫安林吾液之百立方生的迈当适与麦芽糖之○.七七八(格兰姆)相当。”

麦芽糖【同义】总目录


麦芽糖玉饴
糖制品

糖制品

糖(糖食;~果;~稀;~浆;软~;喜~;水果~) 甜品 甜食 甜物
糖果饼饵等食品:果饵
以蜜糖浸渍的果品:饯(蜜~;冬瓜蜜~)
用麦(或谷)芽等熬的糖:饧 麦芽糖
用麦芽制的糖稀:饴(饴糖)
干的饴糖:餦餭
用饴制的糖果:饴(高梁~)

☚ 乳制品   好食品 ☛

麦芽糖

药名。见《药材学》。为饴糖之别名,详该条。

麦芽糖maltose

二个D-吡喃葡萄糖基通过α1→4糖苷键连接而成的双糖。结构式如下。有还原性,甜度为蔗糖的32%。在一般植物组织中含量少,高等植物的花粉、花蜜、树蜜和大豆叶柄、茎、根部含量较丰富,在萌发的稻、麦种子中含量多。由淀粉酶水解淀粉产生,或由α-葡萄糖苷酶转葡萄糖基作用合成。是饴糖的主要成分,作营养剂和培养基等。

麦芽糖

麦芽糖maiyatang

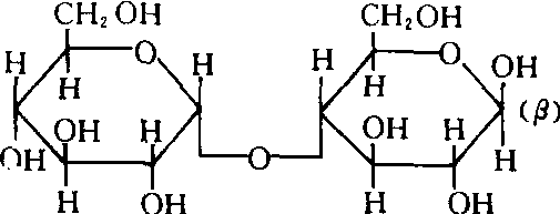
一种还原性二糖,分子式C12H22O11,由两个D-葡萄糖失水形成,成苷部分为六元环的α-D-葡萄糖,未成苷部分以第四个碳原子上的羟基形成糖苷键 (叫做α-1,4-糖苷键),淀粉主要也是以α-1,4-糖苷键将葡萄糖单元结合起来的,可以说淀粉是麦芽糖的高聚物。
麦芽糖的未成苷部分有α-与β-两种形式,在水溶液中,存在环状半缩醛与开链结构的互变平衡,属于还原糖 (参见“还原糖”,见下图)。
麦芽糖在稀酸中水解得到D-葡萄糖。



麦芽糖 D-葡萄糖


麦芽糖是淀粉的基本组成单位。用淀粉酶水解淀粉可以得到麦芽糖。麦芽糖的甜味低于蔗糖,是饴糖的主要成分。
☚ 蔗糖   多糖 ☛

麦芽糖maltobiose

系双糖的一种。主要存在于麦芽中,故名。麦芽糖是淀粉在消化过程中的一个中间产物,提取的麦芽糖是由淀粉酶水解淀粉得到的。麦芽糖为无色结晶,易溶于水,有甜味,水解后生成2个分子葡萄糖,但有还原性。可用于生产食品及酿制其他产品。

麦芽糖

一种还原性双糖。是两个葡萄糖分子经1—4糖苷键连接而成的糖。在自然界中很少以游离态存在,是淀粉组成成分。动物的唾液和胰液、麦芽及地瓜的淀粉酶水解淀粉、糊精和糖原的主要产物。

麦芽糖maltose

是一种双糖,由两分子葡萄糖组成。

麦芽糖

malt sugar


麦芽糖

maltose


麦芽糖

maltose


麦芽糖

maltose


麦芽糖

maltose;malt sugar


麦芽糖

maltose;malt sugar

随便看

 

离鸟网收录3541549条中英文词条,其功能与新华字典、现代汉语词典、牛津高阶英汉词典等各类中英文词典类似,基本涵盖了全部常用中英文字词句的读音、释义及用法,是语言学习和写作的有利工具。

 

Copyright © 2004-2024 vtrois.com All Rights Reserved
更新时间:2026/4/7 0:26:24