网站首页  词典首页


请输入您要查询的字词:

 

字词 麦草畏
类别 中英文字词句释义及详细解析
释义

麦草畏dicamba

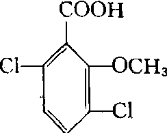
具内吸传导作用的激素型选择性苯甲酸类除草剂。化学结构式:

1965年美国贝尔西可化学公司(Velsicol Chemical Corp)首先开发。
性能 纯品为白色结晶体,熔点114~116℃,蒸气压0.45×10-2帕(25 ℃),密度 1.57(25 ℃),闪点150℃。25℃时在下列溶剂中的溶解度分别为:水6.5克/升,乙醇922克/升,甲苯130克/升,二氯甲烷260克/升,二恶烷1180克/升。工业品淡黄色结晶。制剂48%为百草敌液剂,低毒。原药大鼠急性经口服LD501879~2740毫克/千克,家兔急性经皮LD50大于2000毫克/千克,大鼠急性吸入LC50大于200毫克/千克。对家兔眼睛、皮肤有刺激作用。大鼠亚急性经口无作用剂量为23500毫克/千克,家兔亚急性经皮无作用剂量为500毫克/千克,狗慢性经口无作用剂量为1.25毫克/千克,在试验条件下未见致畸和致突变、致癌作用。对鸟类、蜜蜂和水生物在推荐用量下安全,原药和制剂对鲤鱼毒性48小时LC50大于40毫克/升,虹鳟35毫克/升。
作用机制 苗后喷雾处理能很快被杂草的叶、茎、根吸收,根吸收通过木质部向茎叶传导,叶吸收通过韧皮部向下传导,有效成分多集中在分生组织及代谢活动旺盛的部位,干扰植物的核酸代谢,促进敏感植物核糖核酸和蛋白质的合成,阻碍植物激素的正常活动,使细胞分裂异常,破坏韧皮部与薄壁细胞,导致形成多核凝结的原生质体,影响植物根与芽的正常生长发育,成畸形,生长点萎缩。一般药后24小时即出现畸形卷曲症状,一周后变为褐色,7~ 15天枯死。禾本科植物吸收药剂后传导速度慢,迅速代谢,有效地解毒,而具较强的耐药性。其降解速度随植物种类不同差别很大。麦草畏在土壤中易于移动,微生物分解后消失,药效长45~ 60天。
应用 主要用于小麦、大麦、玉米、谷子、水稻、甘蔗、高粱等作物田及果园、芦苇地、禾本科草坪、牧场、非耕地、林地等防除猪殃殃、藜、巢菜、蓼、苋、牛繁缕、播娘蒿、荠菜、苍耳、扁蓄、卷耳、野大豆、葎草、荞麦蔓、小旋花等一年生、多年生双子叶杂草,特别是可防除一些耐2,4-滴类除草剂的杂草种类。麦田施药适期为冬小麦4叶期至分蘖末,春小麦3~5叶期,每公顷用有效成分144~196克,加水300~450升均匀喷雾处理。小麦、大麦3叶期前及拔节后禁用,以免造成药害,不同小麦、大麦品种耐药性有差异。从扩大杀草谱,提高作物安全性考虑,在生产中常与2,4-滴丁酯或2甲4氯等除草剂各减量混用,一般每公顷用有效成分96克与2,4-滴丁酯270克或2甲4氯375克。玉米地使用时,每公顷用有效成分180~ 288克,加水300升,于玉米3~5叶期,双子叶杂草2~4叶期,均匀喷雾处理,可与莠去津、甲草胺等多种除草剂各减量分期使用,扩大杀草谱。用于芦苇、草坪、牧场防除双子叶杂草,于杂草出齐后4叶期前,每公顷用有效成分144~196克作茎叶喷雾处理。

麦草畏dicamba

又称百草敌。苯甲酸类激素型选择性内吸除草剂。化学名称:3.6-二氯-2-甲氧基苯甲酸。化学结构式如下。纯品为白色结晶固体,熔点114~116℃,工业品为淡棕黄色颗粒,熔点90~100℃ ,蒸气压为499.96×10-3 Pa,25℃水可溶0.45%,易溶于乙醇和丙酮,在二甲苯中中等溶解。二甲胺盐的水溶解度大于220 g/L。性质稳定,不易氧化和水解,对酸和碱稳定。可被叶、茎、根吸收传导,进入植物体内后,阻碍植物激素的正常活动,抑制植物的正常生育,使茎叶弯曲畸形,最后枯死。主要用于小麦、玉米等作物田,防除多种一年生、越年生和多年生阔叶杂草,如藜、苋、猪殃殃、牛繁缕、荠菜、问荆、蓼、猪毛菜、刺儿菜、田旋花、独行菜、鸭跖草、野大豆、大巢菜及鳢肠等。对人、畜低毒,大白鼠急性口服LD50为1 879~2 740 mg/kg,兔急性经皮LD50为2 000 mg/kg以上,大白鼠急性吸入LC50为200 mg/L以上,对兔皮肤、眼睛有刺激作用,对水生动物低毒。小麦拔节后使用,或过量使用易发生药害,影响小麦结实。

随便看

 

离鸟网收录3541549条中英文词条,其功能与新华字典、现代汉语词典、牛津高阶英汉词典等各类中英文词典类似,基本涵盖了全部常用中英文字词句的读音、释义及用法,是语言学习和写作的有利工具。

 

Copyright © 2004-2024 vtrois.com All Rights Reserved
更新时间:2026/4/8 16:29:01