网站首页  词典首页


请输入您要查询的字词:

 

字词 黄天精
类别 中英文字词句释义及详细解析
释义

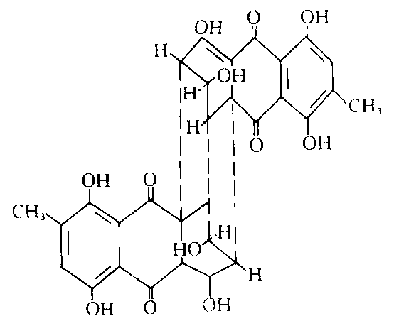
黄天精luteoskyrin

岛青霉(Penicillium islandicum)的代谢产物之一。为黄色六面体针状结晶,熔点为287℃,分子质量547 u,其结构式如右。该菌污染的大米会变黄并含有这种毒素。此毒素为害肝脏,实验动物出现肝炎、肝硬变及肝癌。

随便看

 

离鸟网收录3541549条中英文词条,其功能与新华字典、现代汉语词典、牛津高阶英汉词典等各类中英文词典类似,基本涵盖了全部常用中英文字词句的读音、释义及用法,是语言学习和写作的有利工具。

 

Copyright © 2004-2024 vtrois.com All Rights Reserved
更新时间:2026/5/26 11:52:07