网站首页  词典首页


请输入您要查询的字词:

 

字词 黄素腺嘌呤二核苷酸
类别 中英文字词句释义及详细解析
释义

黄素腺嘌呤二核苷酸flavin adenine dinucleotide

黄素单核苷腺嘌呤核苷酸酐。有氧化型和还原型两种形式,分别简写成FAD和FADH2。含有维生素B2。作用机制同黄素单核苷酸。为一些需氧或不需氧脱氢酶或黄素蛋白的辅基,在生物体内一般起递氢的作用。

黄素腺嘌呤二核苷酸

黄素腺嘌呤二核苷酸

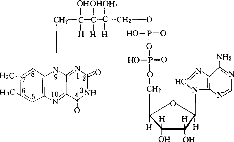
黄素腺嘌呤二核苷酸(FAD)与FMN一样是黄素酶的辅基,与酶蛋白以非共价键结合,但结合紧密,唯琥珀酸脱氢酶的FAD是与酶蛋白中组氨酸残基以共价键结合。FAD的结构式如下:


FAD有氧化型及还原型(FADH2)二种,FAD传递氢原子过程以及吸收光谱均与FMN相同 (见 “黄素单核苷酸”条)。
在高等动物中,含FAD的黄素酶有琥珀酸脱氢酶、二氢硫辛酸脱氢酶、脂肪酰辅酶A脱氢酶、线粒体中的3磷酸甘油脱氢酶、D氨基酸氧化酶、黄嘌呤氧化酶、醛氧化酶、二氢乳清酸氧化酶等。
体内FAD是从FMN合成的,其反应由FMN腺苷酸转移酶催化,需要ATP。

FMN+ATP—→FAD+PPi(焦磷酸)

☚ 黄素单核苷酸   辅酶Q ☛
00000762
随便看

 

离鸟网收录3541549条中英文词条,其功能与新华字典、现代汉语词典、牛津高阶英汉词典等各类中英文词典类似,基本涵盖了全部常用中英文字词句的读音、释义及用法,是语言学习和写作的有利工具。

 

Copyright © 2004-2024 vtrois.com All Rights Reserved
更新时间:2026/4/8 18:02:13